9.2 希尔伯特变换的性质
2026年01月14日
9.2 希尔伯特变换的性质
1.线性性质
若a,b为任意常数,且
则有:
![]()
2.位移性质
![]()
3.希尔伯特变换的希尔伯特变换
![]()
此性质表明此两重希尔伯特变换仅是使原函数添加上了一个负号,由此可得:
![]()

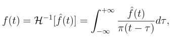
4.逆希尔伯特变换f(t)为
的卷积,可表示为:
![]()
其中
![]()
5.奇偶特性
即若原函数f(t)为奇(偶)函数,则其希尔伯特变换
为偶(奇)函数,即

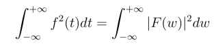
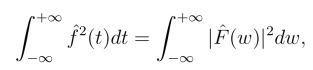
6.能量守恒(https://www.daowen.com)
根据帕塞瓦尔定律,我们可以得到:

和

因而,我们可以得到:

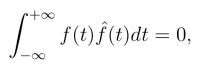
7.正交性质
由于f(t)和
(t)分别为解析函数Z(t)的实部和虚部,我们可以得到:

即正交性.
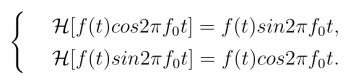
8.调制性质
对于任意函数f(t),若其傅里叶变换有以下形式:

则有

9.卷积性质
![]()
另外,希尔伯特变换具有周期性和同域性,即希尔伯特变换不改变原函数的周期性,也不改变域表示,而不像傅里叶变换那样,把信号从时域改变为频域表示.