1.2.4 待定系数法
2026年01月14日
1.2.4 待定系数法
在此小节,直接给出对称的定义,以及如何利用待定系数法[57]求对称。
依然以(1+1)-维情况为例,考虑一般的非线性演化方程[57]:
![]()
简记为:
![]()
定义 1.2.2 [57] σ(x,t,u,ux,…) 成为方程(1.20)的一个对称,如果σ满足下面等式

这里,[K,σ]=K′σ−σ′K。如果σ不显含t,则[K,σ]=0。
利用待定系数法求解微分方程的对称,一般假设原方程的对称是σ=a(x,t)ux+b(x,t)ut+c(x,t)u+d(x,t),然后将该式代入原方程中,之后令独立项系数等于零求出系数函数 a(x,t),b(x,t),c(x,t)和d(x,t),这样一来得到原方程的对称.(https://www.daowen.com)
例如,对于Burgers 方程,
![]()
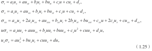
假设该方程的对称为:
![]()
利用(1.23),有下面的等式成立

将(1.25)代入对称满足的方程:
![]()
如果出现ut相关的项,就用ut=−uux−uxx,utx=−ux2−uuxx−uxxx等来代替,之后,令独立项的系数为零,可得到对称的系数函数 a(x,t),b(x,t),c(x,t)和d(x,t),这样便得到原方程的对称。随后,便可利用对称来求方程的守恒律。下一节,将介绍对称和守恒律。