2.2 特殊情况:非线性项系数 g(x,y,t)=0.
对于特殊情况,也就是非线性项系数g(x,y,t)=0,

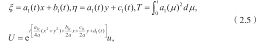
首先考虑下面的点变换

将(2.2)映射成同类型的方程

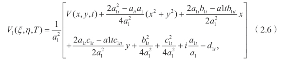
通过计算,可以得到

和

这里,a1(t),b1(t),c1(t) 和 d1(t) 是 t的任意函数。更详细的群分类请参见文献[81,82]。
考虑下面的算子L以及相应的伴随算子L*[47,80]
(https://www.daowen.com)
D是全导数算子。则有,

和

换句话说,

这里ϕ 是伴随方程的任意一个解。
显而易见,L 满足

相应的伴随方程是

这样一来,可以得到
