导文网
搜索
首页>
图书频道>
理学>
数学物理化学
2.2.1 Lorentz 规范约束
2025年09月26日
版权
2.2.1 Lorentz 规范约束
为了寻找势对称,需要考虑其他的规范约束
[45,85,86]
。这里选择 Lorentz 规范约束,这样,就可以得到下面的势系统
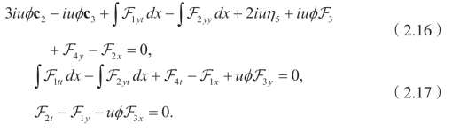
经过计算,可以得到
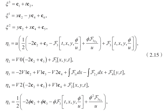
此外,还有下面的限制条件
上一章
下一章
目录