导文网
搜索
首页>
图书频道>
理学>
数学物理化学
2.2.2 时间规范约束
2026年01月14日
版权
2.2.2 时间规范约束
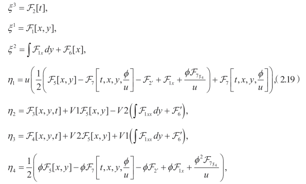
基于时间规范约束,产生了下面的势系统
经过计算,可以得到(https://www.daowen.com)
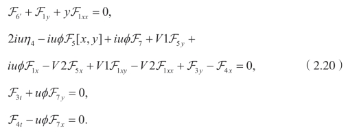
和另外的条件
上一章
下一章
目录