导文网
搜索
首页>
图书频道>
理学>
数学物理化学
2.3 李对称分析
2026年01月14日
版权
2.3 李对称分析
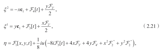
基于李对称分析,可以得到
(https://www.daowen.com)
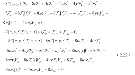
V(x,y,t)满足下面的条件
上一章
下一章
目录