3.1.1 引言
众所周知,Burgers 族方程有下面的形式[41,87-93]

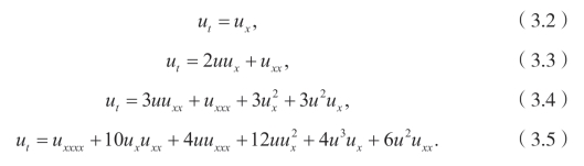
将m=1,2,3,4 代入(3.1),可以得到一些方程如下:

它们分别是一阶Burgers 方程、二阶Burgers 方程、三阶Burgers 方程和四阶Burgers 方程。三阶Burgers 方程类似于二阶情况出现在许多物理、工程等领域。此外,这些方程在非线性理论和数学物理领域,尤其是可积系统、孤立子理论、非线性波理论等领域,扮演着十分重要的角色。对于著名的二阶Burgers方程,可以利用Cole-Hopf 变换约化成著名的热传导方程ut−uxx=0。此外,三阶Burgers 方程也称作Sharma-Tasso-Olver(STO)方程。许多学者已经研究过Burgers 方程[97],为了提供更多的信息,下面将从不同的角度研究三阶Burgers 方程:
