3.1.4 三阶Burgers 方程的线性化
为了将(3.6)线性化,利用文献[95,96]中的定理。首先对于势系统,

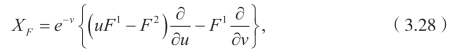
有下面的无穷小单参数生成元

这里 F=(F1,F2) 为下面线性系统的任意解

从文献[95,96]中的定理可以得知

现在定义

这样一来,可以得到

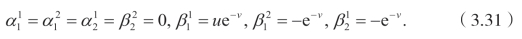
很容易得到下面的特解

可逆映射 µ 由下面式子决定

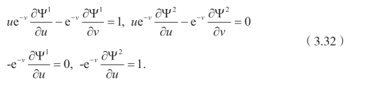
这样将势系统(3.27)转化成下列的线性系统

于是有

将(3.6)映射成下面的三阶线性偏微分方程

为了简便起见,重写(3.37)成下面的形式

需要强调的是,映射(3.36)正是著名的Cole-Hopf 变换。