3.1.2 Painleve 分析
2026年01月14日
3.1.2 Painleve 分析
STO 方程是Painleve 可积的[91,94]。考虑下面的截断Painleve 展开形式

将(3.7)代入(3.6),可以得到

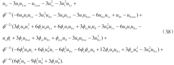
令 ϕ−4的系数等于零,得到
![]()
或者
![]()
可以得到共振条件 j=1,3 这个方程具有 Painleve 性质[91,94]。此外,从φ0和φ1的系数可以得到下面的引理:
引理 3.1.1 u0=ϕx 是STO 方程的一个对称,而且 u1是方程的一个解。
为了证明这个引理,首先给出对称的定义[57,93]。
定义3.1.1 [57,93] 给定一个非线性发展方程(https://www.daowen.com)
![]()
这里K [u]=K(x,t,ux,uxx,…)。如果 σ(x,t,ux,uxx,…) 是方程(3.11)的一个对称,则 σ满足

这里 K′是Frechet 导数。
引理 3.1.2 σ=σ(x,t,u) 是方程(3.6)的一个对称,当且仅当
![]()
这里u 是方程(3.6)的一个解。
从 ϕ0和ϕ1的系数可以得到

将u0=ϕx和 u1 代入(3.14),可以得到引理(3.1.1)。
需要指出的是,u0=ϕx 是与 Bäcklund 变换(3.7)有关的一个非局域对称。