第四讲 论增减极值乙函数更显风光
就在笛卡儿发表求切线的“圆法”那年,同为解析几何创始人之一的费马(P.Fermat,1601—1665)在一封信中提出了求极大值和极小值的代数方法.费马的方法也可以用来求切线,是微积分早期引起热烈讨论的一项重要工作.
数学中的最大值或最小值,和日常语言中的意义相同;而极大值或极小值,就和日常理解的意义有些出入了.
若函数f(x)在包含x=x0的一个数集S上有定义,且对任一点x∈S总有f(x)≤f(x0)(f(x)≥f(x0)),则称f(x)在S上取到最大(小)值f(x0),并称x=x0是f(x)在S上的最大(小)值点,最大值和最小值通称最值.当数集S容易从上下文确定时可以略去不提.
若f(x)在包含x0的一个开区间Δ上有定义,且在Δ上取到最大(小)值f(x0),则称x=x0是f(x)的一个极大(小)值点,并称f(x0)是f(x)的一个极大(小)值.极大值和极小值通称极值.
简言之,极值与左邻右舍比起来是最值,是小组冠军.
费马设想,如果函数f(x)在x=u取到极大,则有一个含u的小区间Δ=(ud,u+d),使得对于任意的u+h∈Δ,有f(u+h)≤f(u).
于是当h≠0时,不论h>0或h<0都有

设当h趋于0时
趋于一个确定的数A.若A是正数,当h>0时将有A·h>0,若A是负数,当h<0时将有A·h>0,都和(4-1)矛盾,故必有A=0.
同理,在极小的情形也必有A=0.
前面已经知道,若当h趋于0时
趋于一个确定的数A,则A是f(x)在x=u处的导数,即f′(u)=A;从几何上看导数是函数曲线的切线的斜率.因此,费马的想法实质就是说,f(x)在x=u处取到极值的必要条件,是f′(u)=0;亦即函数曲线在这一点的切线应当是水平的,如图4-1.

图4-1 函数曲线在极值点处的切线
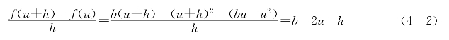
费马用一个简单的例子说明他的方法.这是一个小学生熟悉的问题:设矩形的两边之和为b,何时其面积最大?
用x表示矩形的一边,则另一边为b-x.于是矩形面积可以表示为x的函数f(x)=x(b-x)=bx-x2.设它在x=u处取到极大,则差商

当h趋于0时应趋于0,可见b-2u=0,求出u=
.也就是说只有当此矩形为正方形时其面积才取到极值.稍加讨论便知矩形为正方形时其面积最大.
由于问题的求解涉及h趋向于0的过程,要说清楚颇费工夫.如果基于乙函数的概念来讨论,问题就简单了.事实上,如命题2.9所述,若g(x)是f(x)的乙函数,则由g(x)为正(负)可以得知f(x)递增(减);由g(x)非正(负)可以得知f(x)不增(减).但常常有g(x)在开区间(u,v)为正(负)但在一个或两个端点处等于0的情形,如例题2-1中g(x)=
在区间
,+∞)为正但在端点x=
处为0,这样能否断定f(x)在
,+∞)递增?当时没有理清这个细节,只是画出图来看看就忽悠过去了.下面把这种情形说清楚,从而建立一个更方便地判断函数增减性的工具.
命题4.1 设g(x)是f(x)在区间I上的乙函数,u<v是I中的两点,若g(x)在(u,v)上为正且在[u,v]上非负,则f(x)在[u,v]上递增;若g(x)在(u,v)上为负且在[u,v]上非正,则f(x)在[u,v]上递减.
证明 应用命题2.9或直接根据乙函数定义,若g(x)在(u,v)上为正且在[u,v]上非负,则f(x)在(u,v)上递增且在[u,v]上不减.
为进一步证明f(x)在[u,v]递增,用反证法,设f(x)在[u,v]上仅仅是不减而非递增,则有[u,v]上两点s<t使f(s)=f(t),因而f(x)在[s,t]上为常数,于是f(x)在(u,v)的子区间(s,t)上为常数.这与f(x)在(u,v)上递增的结论矛盾,从而否定了反证法假定.这证明了f(x)在[u,v]上递增.
同理可证若g(x)在(u,v)上为负且在[u,v]上非正,则f(x)在[u,v]上递减.详细推导留给读者.
有趣的是,命题4.1中的条件g(x)在[u,v]上非负和g(x)在[u,v]上非正都是可以去掉的.这在前面已经作为第2讲的习题叙述过了.证明起来如有困难也可参看书后的习题解答.
从上面的命题立刻得到函数取到极大或极小的常用判别法.
命题4.2 (极值判别法)设g(x)是f(x)在区间I上的乙函数,u<v是I中的两点而x0∈(u,v)使g(x0)=0;若g(x)在(u,x0)上为正、在(x0,v)上为负,则f(x)在x=x0处取到极大;若g(x)在(u,x0)上为负、在(x0,v)上为正,则f(x)在x=x0处取到极小.
于是,要求函数f(x)=x(b-x)=bx-x2的极大极小值,只要写出它的乙函数g(x)=b-2x,并根据乙函数的正负来判断其增减性.显然有
,且g(x)在
上为正、在
上为负,故f(x)在x=
处取到极大值![]()
,显然这也是f(x)在(-∞,+∞)上的最大值.所有这些都不用趋于0之类的描述,道理简单明白.
照此办理,二次函数的增减性和最大最小值的问题容易解决.
命题4.3 设f(x)=Ax2+Bx+C(A≠0,x∈(-∞,+∞)),则当A>0时f(x)在x0=-
处取到最小值
,且f(x)在
上递减,在
递增;当A<0时f(x)在x0=-
处取到最大值
,且f(x)在
上递 增,在
递减.
证明 由命题2.3和2.5可知g(x)=2Ax+B是f(x)=Ax2+Bx+C的乙函数.当A>0时,由
,且g(x)在
上为负,在
上为正,故由极值判别法(命题4.2)知道f(x)在x0=-
处取到最小值
,且f(x)在
上 递 减,在
上递增;当a<0时有同理,具体推导留给读者.
注意到二次方程Ax2+Bx+C=0的判别式为Δ=B2-4AC,则此二次函数的最值可以简单地写成便于记忆的
.
上述命题说明二次函数在(-∞,+∞)上只有一个极值,也就是最值.如果考虑它在闭区间上的最值,就还要看其极值点是否在此区间内,并且要考虑两端点处的函数值.
例题4—1 (i)求函数f(x)=x2-2x-t在区间[0,3]上的最大值;
(ii)求函数F(x)=|x2-2x-t|在区间[0,3]上的最大值.
解 (i)应用命题4.3,可知f(x)=x2-2x-t在x0=1∈(0,3)处取到极小值-1-t,于是f(0)=-t和f(3)=3-t中较大者3-t即为所求的最大值.
(ii)当f(x)=x2-2x-t的最小值-1-t≥0时即t≤-1时,函数F(x)=|x2-2x-t|=f(x),其最大值为F(3)=f(3)=3-t,如(i).
当f(x)=x2-2x-t的最小值-1-t<0时即t>-1时,F(x)=|x2-2x-t|在x0=1∈(0,3)处取到极大值1+t>0,如图4-2.于是F(1)=1+t、F(0)=|t|和F(3)=|3-t|中较大者为所求的最大值.有三种情形:(1)当t∈(-1,1)时F(3)=|3-t|>2显然为最大;(2)t=1时F(1)=2=F(3)同为最大值;(3)t>1时F(1)=1+t为最大.这三种情形如图4-3.

图4-2 函数F(x)=|x2-2x-t|的图像

图4-3 三个函数值随参数t变化时的比较
比二次函数复杂一点的是三次函数,为了研究三次函数的增减性和极值,自然想到要找它的乙函数.
例题4—2 求证:函数g(x)=3x2是f(x)=x3的乙函数.
解 计算得

当uv≥0时,u2+uv+v2显然在g(u)=3u2和g(v)=3v2之间;这表明在(-∞,0]和[0,+∞)上,g(x)=3x2都是f(x)的乙函数.
能不能由此推出在(-∞,+∞)上函数g(x)=3x2是f(x)的乙函数呢?
确实有这样的一般规律.
命题4.4 (乙函数的区间可分性)若g(x)是式f(x)在区间I上的乙函数,又是f(x)在区间J上的乙函数,且区间I和区间J有公共点,则g(x)是f(x)在区间K=I∪J上的乙函数.
证明 按定义,只要证明对K=I∪J的任意子区间[u,v],总有[u,v]中的点p和q,使有下列不等式

若[u,v]是I或J的子区间,结论显然.若不然,则有I和J的公共点a∈(u,v)使得[u,a]和[a,v]分别包含于I和J.
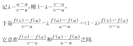
注意到差商
总在
和
之间(图4-4).因g(x)是f(x)在[u,a]和[a,v]上的乙函数,故在[u,a]上有p1、q1使得
在g(p1)和g(q1)之间;同理在[a,v]上有p2、q2使得
在g(p2)和g(q2)之间;令g(p)和g(q)分别为此4值中的最小和最大者,则有(4-4)成立.证毕.

图4-4 差商
总在
和
之间

上述命题显然可以推广到任意多个区间之并的情形,所以在求乙函数时就可以对区间分段处理了.
有了乙函数的区间可分性,就可以确认3x2在(-∞,+∞)上是x3的乙函数.这使我们猜想到,3x2+2ax+b是x3+ax2+bx+c的乙函数.
命题4.5 g(x)=3x2+2ax+b在(-∞,+∞)上是f(x)=x3+ax2+bx+c的乙函数.
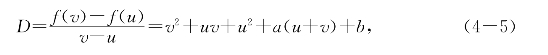
证明 求出f(x)在[u,v]上的差商,记作

考虑它和g(u)以及g(v)之差:
![]()
![]()
因为(v-u)>0,故当v>u≥-
时,上面两式都为正,即g(u)<D<g(v),说明在
上g(x)是f(x)的乙函数;当u<v≤-
时,两者都为负,即g(v)<D<g(u),说明在
上g(x)也是f(x)的乙函数.故在(-∞,+∞)上g(x)是f(x)的乙函数.证毕.
应用命题2.3于上述结果,可知3ax2+2bx+c是更一般的三次函数ax3+bx2+cx+d的乙函数.
作为习题,请读者验证3ax2+2bx+c是三次函数ax3+bx2+cx+d的导数.这种看似巧合的情形将在第6讲得到解释.(https://www.daowen.com)
于是三次函数的增减性和极大极小问题完全归结为二次函数的正负,从而就完全解决了.
命题4.6 设f(x)=ax3+bx2+cx+d(a≠0,x∈(-∞,+∞)),则有
(i)若b2-3ac≤0,当a>0时f(x)在(-∞,+∞)上递增,a<0时f(x)在(-∞,+∞)上递减;
(ii)若b2-3ac>0,设u<v是方程3ax2+2bx+c=0的两个实根,则f(x)的增减性和极大极小情形如下:
若a>0,则f(x)在(-∞,u]和[v,+∞)上递增,在[u,v]上递减;在x=u处取极大,在x=v处取极小;
若a<0,则f(x)在(-∞,v]和[v,+∞)上递减,在[u,v]上递增;在x=u处取极小,在x=v处取极大.
列出下表,一目了然.
表4-1 三次函数的增减性和极值(b2-3ac>0情形)

证明 由命题4.5,g(x)=3ax2+2bx+c在(-∞,+∞)上是f(x)=ax3+bx2+cx+d的乙函数.考虑二次函数
g(x)=Ax2+Bx+C(A=3a,B=2b,C=c),
结合命题4.3可得:
(i)若B2-4AC=b2-3ac≤0,当A=3a>0时g(x)在
处取到最小值
,故g(x)在(-∞,+∞)上除x0=-
一点外均为正,由命题4.2可知f(x)在(-∞,+∞)上递增;a<0时g(x)在x0=-
处取到最大值
,故g(x)在(-∞,+∞)上除x0=
一点外均为负,由命题4.2可知f(x)在(-∞,+∞)上递减(如图4-5和4-6).

图4-5 三次函数ax3+bx2+cx+d曲线1(b2-3ac≤0且a>0)

图4-6 三次函数ax3+bx2+cx+d曲线2(b2-3ac≤0且a<0)
(ii)若B2-4AC=b2-3ac>0,当A=3a>0时g(x)在x0=-
∈(u,v)处取到最小值
,故g(x)在(-∞,u)和(v,+∞)上为正而在(u,v)上为负,由命题4.2可知f(x)在(-∞,u]和[v,+∞)上递增而在[u,v]上递减,在x=u取到极大,在x=v取到极小;a<0时g(x)在x0=-
∈(u,v)处取到最大值
>0,故g(x)在(-∞,u)和(v,+∞)上为负而在(u,v)上为正,由命题4.2可知f(x)在(-∞,u]和[v,+∞)上递减而在[u,v]上递增,在x=u取到极小,在x=v取到极大(如图4-7和图4-8).

图4-7 三次函数ax3+bx2+cx+d曲线3(b2-3ac>0且a>0)

图4-8 三次函数ax3+bx2+cx+d曲线4(b2-3ac>0且a<0)
例题4—3 设函数f(x)=x3+ax2+x+1(a∈(-∞,+∞),x∈(-∞,+∞)).
(i)讨论函数f(x)的单调区间;
(ii)设函数f(x)在区间(1,5)内是减函数,求a的取值范围.
解 函数g(x)=3x2+2ax+1是f(x)=x3+ax2+x+1的乙函数,f(x)的增减性可从g(x)=3x2+2ax+1的正负得出.
(i)当(2a)2-4×3≤0即a2≤3时g(x)≥0,f(x)在(-∞,+∞)上递增;

图4-9 函数f(x)=x3+ax2+x+1的单调区间
当a2>3时g(x)=0有两根u=
和v=
,可知f(x)在(-∞,u]和[v,+∞)上递增,在[u,v]上递减(如图4-9).
(ii)解不等式u≤1<5≤v,即-a-
≤3且15≤-a+
,
解得a≤-7.6.
例题4—4 如图4-10是一张长为30cm、宽为20cm的矩形纸片.从虚线处将四边折叠并适当粘贴起来构成一个高为xcm、长为(30-2x)cm、宽为(20-2x)cm的无盖纸盒(图4-11).问纸盒的高是多少时容积最大?容积最大是多少?

图4-10 矩形纸片

图4-11 矩形纸片折叠成纸盒
解 纸盒容积可表示成其高度x的函数
![]()
而g(x)=4(3x2-50x+150)是V(x)的乙函数,如图4-12.求出g(x)=0的两根为u=
≈3.92和v=
≈12.74.于是V(x)在[0,u]递增,在[u,10]递减,在[0,10]上有最大值V(u)≈V(3.92).即纸盒的高约为3.92cm时容积最大,容积最大约为V(3.92)≈1056.3(cm3).

图4-12 纸盒的最大容积(y轴l格表100cm3)
例题4—5 已知函数f(x)=k(x+1)+
(x≠0)在(0,3]上递减,求参数k的取值范围.
解 由命题2.3和2.6知g(x)=k-
是f(x)的乙函数.想要f(x)在(0,3]上递减,应有k-
在(0,3]上非正,解得k≤
,图4-13是k=
的临界情形.(曲线平缓,仅靠直观很难准确看出结论!)

图4-13 函数f(x)=k(x+1)+
的递减区间
例题4—6 设F(x)=
在[0,+∞)上有定义,请确定参数a的变化范围和F(x)的单调区间.
解 记f(x)=x+a
+1,由命题2.3和2.7可知g(x)=1+
是f(x)在(0,+∞)上的乙函数,于是
(i)若a≥0,此时在(0,+∞)上有g(x)>0,从而f(x)在(0,+∞)递增.因f(0)=1显然为最小值,故f(x)实际上在[0,+∞)递增.于是F(x)=
在[0,+∞)上递减且F(0)=1为最大值.如图4-14.

图4-14 函数F(x)=
当a≥0时递减
(ii)若a<0,记
=t从而
f(x)=f(t2)=t2+at+1,
二次方程f(t2)=0的判别式为a2-4,故当a∈(-2,0)时f(x)在[0,+∞)上恒正.
又因f(t2)在t=-
处取到最小、在
上递减、在
上递增,故f(x)在x=
处取到最大、在
上递增、在
上递减,如图4-15.而当a≤-2时方程f(x)=f(t2)=t2+at+1=0有正根t1=
,与F(x)=
在[0,+∞)上有定义不合.

图4-15 函数F(x)=
当-2<a<0时的单调区间
综上可知,参数a的范围为(-2,+∞);当a∈[0,+∞)时F(x)在[0,+∞)上递减,当a∈(-2,0)时F(x)在
上递增,在
上递减.
习题4—1 用第1讲的方法求f(x)=ax3+bx2+cx+d的导数.
习题4—2 求函数f(x)=x3-12x+8在区间[-3,3]上的最大值与最小值.
习题4—3 求函数f(x)=t·x2+2t2·x+t-1(x∈(-∞,+∞),t>0)的最小值h(t),并求h(t)+t在区间(0,2)上的取值范围.
习题4—4 若函数F(x)=x-
在(-5,-1)上递增,求F(x)在[1,3]上的最大值.
习题4—5 已知函数f(x)=
在区间[-1,1),(1,3]上各有一个极值点,求a2-4b的最大值.
习题4—6 已知函数f(x)=2x3+3ax2+3bx+8c在x=1及x=2时取得极值,求f(x)在[0,3]上的最大值和最小值.
习题4—7 设函数f(x)=
的表达式在(-∞,+∞)上有意义,求a的取值范围和f(x)的递减区间.
习题4—8 设正圆锥的高为30,底半径为10,求其内接圆柱体的体积的最大值.