第六讲 建立估值定理喜看殊途同归
第1讲引进了函数的导数,第2讲引进了函数的乙函数.一个一个比较两讲中的命题,会引起一个猜想,乙函数就是导数吧?
导数的概念,从一开始就和神秘莫测的无穷小结下不解之缘;而乙函数的引入,却如此平凡普通,两者怎么可能是一回事儿?
现在真相即将浮出水面.借助于“差商有界”的概念,乙函数和导数之间的关系就要明朗化了.
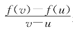
命题6.1 设函数g(x)是f(x)在[a,b]上的乙函数;如果g(x)在[a,b]上差商有界且M是其李普西兹常数,则对[a,b]中任意两点u<v和s∈[u,v]有

或者等价地
![]()
证明 由乙函数定义,有[u,v]上的点p和q使g(p)≤
≤g(q),同减g(s)得

再由g(x)在[a,b]上差商有界且M是其李普西兹常数得

将(6-4)用于(6-3),即得(6-1);去分母得(6-2).证毕.
不等式(6-1)表明,在命题条件下f(x)在[u,v]上的平均变化率可以取g(x)在[u,v]上的任一点s处的值作为近似值.其误差不超过M|v-u|.这比乙函数定义中的估值不等式更具体.
再仔细看看不等式(6-1),你发现了什么?
注意s是[u,v]上的任意一点,所以可令s=u;再记v-u=h,于是v=u+h,(6-1)就成了

不等式(6-5)就是林群提出的简化的导数定义.
在上面这个不等式中,如果h无限地趋于0,右边的M|h|也就无限地趋于0,从而差商
和一个确定的数A=g(u)无限接近.按定义1,g(u)就是函数f(x)在点x=u处的导数!f′(u)=g(u)!
真相大白,水落石出.原来差商有界的乙函数就是导数.
反过来,导数是否一定是差商有界的乙函数呢?
这可不一定.观察(6-5),如果把右端的M|h|换成M
,让h无限地趋于0,右边的M
仍然无限地趋于0,g(u)仍是函数f(x)在点x=u处的导数!
对任意正整数n>1,把M|h|换成M
,仍然推出g(u)是函数f(x)在点x=u处的导数.条条大路通罗马.
因此,(6-5)是f′(u)=g(u)的充分条件,而不是必要条件.为区别(6-5)和f′(u)=g(u),我们给出下面的定义.
定义5 (强可导函数的导数)设函数f(x)和g(x)在[a,b]上有定义.如果有数M使对[a,b]上任两点x和x+h成立不等式
![]()
或等价的

则称函数y=f(x)在[a,b]上强可导;若f(x)在区间I的任意闭子区间都是强可导的,则称其在I上强可导.称g(x)是f(x)是强导数.
如上所述,强导数也是导数,故同样记作f′(x)=g(x)或y′=g(x),也可记作
或
等.在国外一些大学的微积分教材中,强可导叫做李普西兹可导,强可导函数的导数叫做李普西兹导数.
同样是定义导数,定义5比定义1清楚.定义1中用到一些直观的描述,有待在将来严谨化.定义5则是明明白白的不等式.
不等式(6-7)的意义比较清楚:f(x)的导数f′(x)=g(x)是差商
的近似值,对于强导数而言,误差不超过M|h|.
去分母之后的(6-6)即|f(x+h)-f(x)-f′(x)h|≤Mh2,又有什么意义呢?
通常把f(x+h)-f(x)叫做函数f在x处的差分,通常记作Δy或者Δf(x)、Δf等;f′(x)h叫做f在x处的微分,通常记作dy或者df(x)、df等.(6-6)表明当h接近于0时,差分与微分之差比h更接近于0,对于强导数而言,此差不超过Mh2.
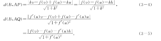
在第3讲里提出了曲线切线的独立的定义,即定义3.为了说明函数的导数是其曲线的切线斜率,按该定义需要证明一个不等式d(B,AP)>d(B,AQ)(见(3-4)和(3-5)及其上下文).现在有了强可导的概念,可以把这个问题说清楚了!
为了阅读方便,下面重复一段第3讲的文字和一幅图的内容.
设函数f(x)在[a,b]上强可导,而u∈(a,b).如图3-6,点A=(u,f(u))在函数y=f(x)的曲线上.
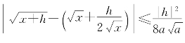
要证明在点A附近最接近曲线y=f(x)的是图中直线AQ:y=f′(u)(x-u)+f(u).另一条直线AP为y=k(x-u)+f(u),k≠f′(u).
设B=(v,f(v))是曲线y=f(x)上另一点,如图,分别计算它到AQ和AP的距离.记h=v-u≠0,可得

复制图3-6 曲线上一点到两直线距离的比较

要证明的是,当|h|>0足够小时有d(B,AP)>d(B,AQ).
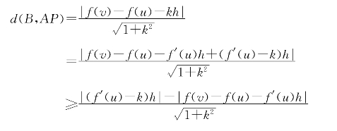
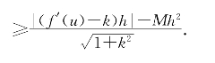
设u和v都在[a,b]上,根据强可导函数的定义,有正数M使得
|f(v)-f(u)-f′(u)h|≤Mh2,
故由(3-5)得d(B,AQ)=
,而由(3-4)则有


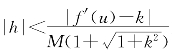
于是为了使d(B,AP)>d(B,AQ),只要
>Mh2即可.这只要|f′(u)-k|>M|h|(1+
),即
就可以了.
至此,对于强可导函数,我们严谨地论证了导数确实是函数曲线上的切线的斜率.
由于导数f′(x)是函数f的曲线在x处的切线的斜率,所以差分和微分的关系如图6-1.图中AD=h,切线AC的斜率为f′(x),故DC=f′(x)h是f(x)的微分,而BD=f(x+h)-f(x)为差分.两者之差BC当AD=h很小时比h更小,即不但BC很小,比值
也很小.

图6-1 当h很小时微分和差分的差更小
由命题6.1和定义5,差商有界的乙函数不但是导数,而且是强导数,如果f(x)有差商有界的乙函数,则它是强可导的.
回顾第1讲计算的几个函数的导数,即第2讲里举出的乙函数,它们都是差商有界函数,所以无一例外都是李普西兹导数.事实上,想找一个可导但不是强可导的函数是相当不容易的.在高等数学教材的习题或试卷上出现的函数,99%以上是强可导的.
数学中讨论问题,常常要考虑正反两个方面,知道了差商有界的乙函数是强导数,自然要问反过来如何.
命题6.2 (强导数和强可导函数的差商有界性和有界性)设在区间I上g(x)是f(x)的强导数,则有
(i)g(x)和f(x)都在I上差商有界;
(ii)对于任意的[a,b]∈I,g(x)和f(x)都在[a,b]上有界.
证明 关键在于证明g(x)在I上差商有界.
(i)根据定义5.对[a,b]∈I有正数M使对[a,b]上任两点u和v=u+h成立不等式
![]()
交换u和v的位置得
![]()
两式相加得
![]()
于是有|g(v)-g(u)|≤2M|v-u|,可见g(x)在I的任意闭子区间上差商有界,即在I上差商有界.
由命题5.1,g(x)在I的任意闭子区间[a,b]上有界,即有正数M1使对任意x∈[a,b]有|g(x)|<M1.
于是由强导数定义可知有正数M2,使对[a,b]上任意两点u和v有不等式
![]()
从而得
![]()
这证明了f(x)在[a,b]上差商有界.由于[a,b]是I的任意闭子区间,故f(x)在I上差商有界.
(ii)由命题5.1,由f(x)在[a,b]上差商有界知f(x)在[a,b]上有界,另上面已经证明有正数M1使对任意x∈[a,b]有|g(x)|<M1,即得所要的结论.
进一步问,强导数是否一定也是乙函数呢?下面作出了肯定的回答.
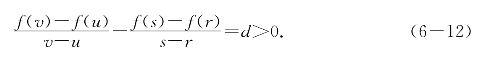
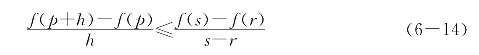
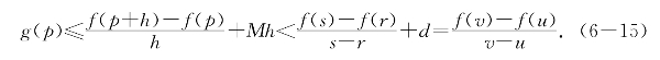
命题6.3 (估值定理)设f(x)在I上强可导,f′(x)=g(x),则g(x)是f(x)在I上的乙函数.即对任意[u,v]⊆I,有[u,v]中的两点p和q满足

证明 若对于所有x∈(u,v]差商
为常数,结论显然.如不然,必有[r,s]⊂[u,v]使得

由强可导定义,有正数M使对一切x∈[u,v]和(x+h)∈[u,v]有

取正整数n>
,将[r,s]等分为n段,记h=
,则Mh<d;且n段中必有一段[p,p+h]使得不等式

成立.由(6-13)、(6-14)和Mh<d以及(6-12)得(https://www.daowen.com)

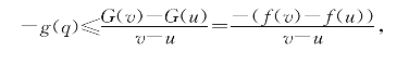
为了证明结论的另一半,可设G(x)=-f(x),则G′(x)=-g(x).对G(x)应用上面得到的结论,可知有q∈[u,v]满足

即满足
≤g(q).命题证毕.
射人先射马,擒贼先擒王.理解数学证明,要抓主干思想.命题6.3的证明好像环节较多,又是中学生不很熟悉的不等式,仅仅循章索句来读,必有困难.若先理清其思路,则有高屋建瓴之效果.命题要求找两点p和q使g(p)和g(q)能够把差商
夹在中间.设想若f(x)在[u,v]上不是均匀变化,把[u,v]分成多个小段时,其中必有两小段上的差商能够把差商
夹在中间.根据强可导定义,小段上的差商和该段端点处的强导数g(x)的值很接近,于是用g(x)的值代替小段上的差商就可以完成证明.具体的不等式推演,不过是上述思想的实现而已.
命题6.3在微积分中的作用,相当于传统微积分教程中的拉格朗日中值定理,所以命名为“估值定理”与之对应.拉格朗日中值定理的成立依赖于实数理论,其证明又涉及极限概念和闭区间上连续函数的性质,推理迂回繁琐.我们仅仅对函数类加上差商有界的限制,就减少了很多麻烦,确实合算.而且如果略为深入探索,差商有界的限制还可以大大放宽,这是后话.
将上面三命题集成,得到想要的结论:
命题6.4 g(x)在区间I上为f(x)的强导数的充要条件,是g(x)在区间I上差商有界且为f(x)的乙函数.
这样一来,前面所述有关乙函数的性质、乙函数的运算、乙函数的应用,都可以适用于强导数.另一方面,验证一下强导数定义中的不等式(6-6)或(6-7),就一箭双雕地确认了g(x)既差商有界又是f(x)的乙函数.
对许多函数,验证不等式(6-6)或(6-7)并不难.举几个例子.
例题6—1 求证g(x)=2x是函数f(x)=x2的强导数
证明1 计算差商得
![]()
故有

由定义知2x是x2的强导数.
证明2 因2x是x2的差商有界的乙函数,故是x2的强导数.
如图6-2,y=x2表示边长为x的正方形的面积.如果x增大成为x+h,则正方形面积增加的部分,即差分(x+h)2-x2=2xh+h2;它由2个面积为xh的长条矩形和一个面积为h2的小正方形组成.微分则为2xh,舍弃了面积为h2的小正方形.

图6-2 正方形面积的增加部分
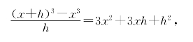
例题6—2 求函数f(x)=x3的强导数.
解1 函数f(x)=x3的差商为

在任意区间[a,b]上有不等式

由定义得f(x)=x3强可导且f′(x)=(x3)′=3x2.
解2 因3x2是x3的差商有界的乙函数,故是x3的强导数.
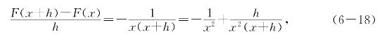
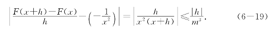
例题6—3 求F(x)=
(x≠0)的强导数.
解1 对于不含0的闭区间[a,b]中的x和x+h计算差商得

移项,并且设m=min{|a|,|b|},则有

由定义得-
是
的强导数.
解2 因-
是
的差商有界的乙函数,故是
的强导数.
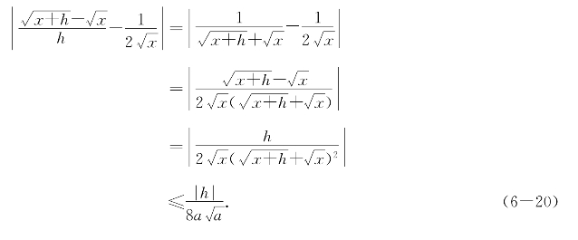
例题6—4 求证
是函数G(x)=
(x>0)的强导数.
解1 设0<a<b,在[a,b]上估计函数的差商和
的差得

由定义得知
是
的强导数.
将(6-20)写成形式
,可以看出
的近似值为
而误差不超过
,这里a可取x和x+h中较小者.例如,![]()
…,误差不超过
.这比例题1-2和2-2更为直截了当.
解2 因
是
的差商有界的乙函数,故是
的强导数.
下面涉及一些新的求导公式,不再作为例题,升格为命题.
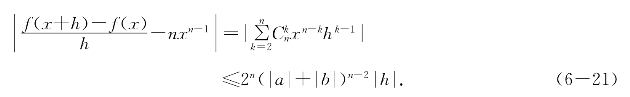
命题6.5 求正整数n,函数g(x)=nxn-1是f(x)=xn的强导数.
证明 由

当x∈[a,b]时得

由定义可知f(x)=xn强可导且
f′(x)=(xn)′=nxn-1.
顺便得知g(x)=nxn-1是f(x)=xn的差商有界的乙函数.
命题6.6 函数cosx是sinx的强导数,-sinx是cosx的强导数.
证明 前面已经证明cosx差商有界,下面再证明cosx是sinx的乙函数,就推出cosx是sinx的强导数.
对任意整数k和[kπ,(k+1)π]上的两点u<v=u+2h,有:

注意当0<h<
时有sinh<h<tanh(参看图5-2),从而0<h≤
时有0≤cosh<
<1;于是(6-22)的左端在cos
和
![]()
之间.注意cosx在[kπ,(k+1)π]单调,故
都在cosu和cosv之间,这表明,在[kπ,(k+1)π]上cosx是sinx的乙函数.从而在(-∞,+∞)上cosx也是sinx的乙函数,应用命题2.3可知
是sin
的强导数.证毕.
直观地看,cosx是sinx的乙函数可以用几何图形清楚地说明.如图6-3,设u<v<π且u+v<π,作腰长AC=BC=1且顶角∠ACB=v-u=2h的等腰三角形ABC;延长BA至D使得∠ACD=u,记CD=b;作三角形ABC的高CE;以C为心AC为半径作弧AB,则其长度α=2h,;以C为心AE为半径作弧PQ,则扇形PQC面积为σ=CE2h;作三角形ACD的高DF、ECD的高EG和BCD的高BH;记三角形ABC的面积为ΔABC,则有

图6-3 从几何上看cosx是sinx的乙函数

(关于不等式(6-26),图上画出的是v为锐角情形,非锐角情形显然成立.)于是得

同除以hb,注意2h=v-u便得

这样推理清清楚楚,而且不用先预备好关于正弦的不等式.
在(6-28)中取u=x和v=x+h,移项去分母得
![]()
这表明sinx+hcosx是sin(x+h)的近似值,误差不超过h2.
例题6—5 应用(6-29)求sin31°的近似值.
解 在(6-29)中取x=30°=
和h=1°=
≈0.017453,得到
sin31°≈sin30°+0.017453cos30°=0.5+0.017453×
≈0.5151,
误差不超过
≈0.0003.
习题6—1 求函数f(x)=x2+
的强导数.
习题6—2 求函数f(x)=
的强导数.
习题6—3 求F(x)=x4+3x3+3x2+x的强导数.
习题6—4 求函数G(x)=
的强导数.
习题6—5 求证对负整数n,函数g(x)=nxn-1(x≠0)是f(x)=xn的强导数.
习题6—6 如图6-4,在单位圆O上取A、B、C使得∠BOA=u和∠COA=v,
表示弧长.
求证:cosv<
<cosu.

图6-4 cosx是sinx的乙函数的又一几何说明
习题6—7 应用(6-29)求cos44°的近似值.