第五讲 选择函数范围青睐差商有界
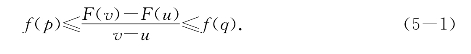
在第2讲里引进了乙函数后,用两个例题来说明其应用.例题2-1表明,乙函数的正负可以用来判别其甲函数的增减;例题2-2表明,用乙函数可以计算甲函数的近似值.在第4讲,乙函数的作用进一步显现出来了.这些应用的根据,就是联系着函数F(x)和它的乙函数f(x)的估值不等式:在[u,v]上有p和q使有

看来这个不等式是一大法宝.它的好处是用简单的一元函数来估计比较复杂的二元表达式.为了充分挖掘这个法宝的潜力,就要探索如何更有效地实现这个不等式的估值作用.
估值,就是从大小两头来限制中间的东西.如果两头互不关照,各奔天涯海角,中间的东西就落个逍遥自在,估不出所以然来.要想有效估值,两头的f(p)和f(q)就不能离得太远,即|f(p)-f(q)|不能太大,这就要对乙函数f(x)的性质有所要求.
应当首先关注哪一类函数呢?
函数千千万万,研究起来应有所选择.要由浅入深,由近及远,以期化难为易,执简御繁.数学课程就是这样安排的.
先是学了一次函数、反比函数、二次函数;进而认识指数函数、对数函数和幂函数;然后是三角函数和反三角函数.
由这些函数经过有限次的加减乘除和复合构成的函数,叫做初等函数.
函数可以用来描述变化.若变化起来比较平稳,|f(p)-f(q)|的大小易于控制,就容易研究;相反,变化剧烈的现象就难于掌握.平均变化率,即差商,是刻画函数变化速度的基本度量.判断函数变化是平稳还是剧烈,可以看差商.于是数学家就提出了下面的“差商有界”的概念.
定义4 (差商有界函数)设函数f(x)的定义域S由有限个区间组成.如果对于S的任意闭子区间[a,b]都有正数M,使得[a,b]中任意两数u和v都满足不等式
![]()
则称f(x)在S上差商有界.
若f(x)在闭区间[a,b]上差商有界,称f(x)在[a,b]上满足李普西兹(R.Lipschitz,1832—1903)条件.不等式(5-2)中的正数M叫做f(x)在[a,b]上的一个李普西兹常数.显然,李普西兹常数不是唯一的.
不等式(5-2)可写成
,差商有界之名由此而来.
有界或无界是数学里的重要概念,它和数集合的上界或下界的概念密切相关.设S是实数集,M是一个实数.如果对任意的x∈S都有x≤M,则称M是S的一个上界;如果对任意的x∈S都有x≥M,则称M是S的一个下界.既有上界又有下界的数集合称为有界的数集合,值域为有界数集合的函数称为有界函数.
理解一个新的数学概念,最好的办法是举出具体的例子.要正面例子,也要反面的例子.
例题5—1 一次函数f(x)=k·x+b在(-∞,+∞)上差商有界,它在任意闭区间[a,b]上有李普西兹常数M=|k|.
证明 因为f(x)=k·x+b的差商为常数k,结论显然.
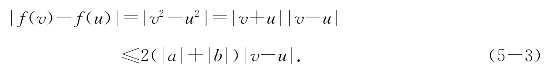
例题5—2 求证函数f(x)=x2在(-∞,+∞)上差商有界,并求它在区间[a,b]上的一个李普西兹常数.
解 对[a,b]上的任意两点u<v,总有

这表明函数f(x)=x2在(-∞,+∞)上差商有界,且M=2(|a|+|b|)是它在区间[a,b]上的一个李普西兹常数.
例题5—3 求证函数f(x)=
在(-∞,0)∪(0,+∞)上差商有界,并求它在区间[a,b](a·b>0)上的李普西兹常数.
解 对[a,b]上的任意两点u<v,总有

用m=min{|a|,|b|}表示|a|和|b|中较小者,则|f(v)-f(u)|≤
|v-u|,这表明函数f(x)=
在(-∞,+∞)上差商有界,且M=
是它在区间[a,b]上的一个李普西兹常数.
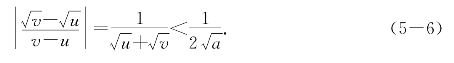
例题5—4 求证函数f(x)=
(x∈[0,+∞))在[0,+∞)上非差商有界但在(0,+∞)上差商有界,并对0<a<b求它在[a,b]上的李普西兹常数.
解 为了指出f(x)=
在[0,+∞)上非差商有界,按定义只要证明它在[0,+∞)的某个闭子区间上非差商有界,即不满足李普西兹条件即可.下面证明y=
在区间[0,1]上不是差商有界的.事实上,对于任意给定的正数M,当u=0和v≤
<1时,总有

可见对于函数y=
不存在[0,a]上的李普西兹常数,即它不是差商有界的(图5-1).
另一方面,当0<a<b时对[a,b]上任意两点u<v,有

这表明y=
在区间(0,+∞)上差商有界,且
是它在[a,b]上的一个李普西兹常数.

图5-1 函数y=
在区间[0,1]上不是差商有界的
从几何上看,差商有界的函数,其曲线上任意两点所确定的割线斜率的绝对值有界.也就是不能太陡,而曲线y=
在x=0的切线平行于y轴,此点附近的割线要多么陡有多么陡,因而不可能满足李普西兹条件.
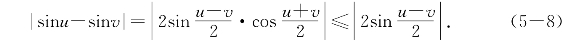
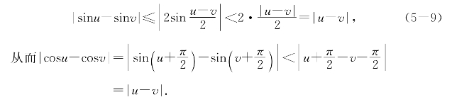
例题5—5 求证函数sinx和cosx都在(-∞,+∞)上差商有界,且对任意两点u<v有不等式

从而它们在任意区间[a,b]上有李普西兹常数M=1.
解 根据三角函数的和差化积公式得

当|u-v|≥π时显然有
≤2<π≤|u-v|;而|u-v|<π时由熟知的几何事实可得当0<x<
时有0<sinx<x(图5-2),从而有不等式
<
;结合(5-8)得

即所欲证.

图5-2 一个关于正弦的不等式
例题5—6 求证函数f(x)=x+sinx在(-∞,+∞)上递增,且其曲线上过任意两点的割线斜率小于2(图5-3).
证明 对于u<v,不等式(5-7)可以写成-1<
<1的形式,从而有

由差商的几何意义即得所要结论.

图5-3 函数f(x)=x+sinx的图像
差商有界函数的例子看了几个,该探讨其性质了.
命题5.1 (闭区间上差商有界函数必有界)设函数f(x)在区间[a,b]上差商有界,则有正数A使得对任意x∈[a,b]有|f(x)|<A;即函数f(x)在区间[a,b]上有界.
证明 由条件可知f(x)在区间[a,b]上有李普西兹常数M,故

取A=|f(a)|+M|b-a|+1,结论获证.(https://www.daowen.com)
由此可知,若f(x)有差商有界的乙函数,f(x)本身也差商有界.
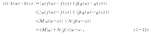
命题5.2 若f(x)和g(x)都在闭区间[a,b]上差商有界,α和β是任意两个常数,则
(i)函数h(x)=αf(x)+βg(x)在[a,b]上差商有界;
(ii)函数H(x)=f(x)·g(x)在[a,b]上差商有界;
(iii)若有正数m使对一切x∈[a,b]有|f(x)|>m,则函数G(x)=
在[a,b]上差商有界.
证明 分别记f(x)和g(x)在[a,b]上的李普西兹常数为M和N,则对任意[a,b]上的u和v有

这证明了h(x)在[a,b]上差商有界;
(ii)由命题5.1知有正数A和B使当x∈[a,b]时有|f(x)|<A和|g(x)|<B,于是得

这证明了H(x)在[a,b]上差商有界;
(iii)在所设条件下有

故
在[a,b]上差商有界;再应用(ii),可知函数G(x)=
=g(x)·
在[a,b]上差商有界.
命题证毕.
命题5.3 若f(x)在闭区间[a,b]上差商有界,g(x)在闭区间[α,β]上差商有界且其值域包含于[a,b],则函数ψ(x)=f(g(x))在[α,β]上差商有界.
证明 设f(x)在[a,b]上的李普西兹常数为M,g(x)在[α,β]上的李普西兹常数为N,则对任意[α,β]上的u和v有

这表明ψ(x)=f(g(x))在[α,β]上差商有界.
在上面几个命题中,不但证明了有关函数差商有界,还在(5-12)到(5-15)诸式中算出了其李普西兹常数,这些算式以后会有用处.
为了讨论反函数的差商,这里再明确一下反函数的概念.若g(x)的定义域S是f(x)的值域并取值于f(x)的定义域M,且对任意x∈S总有f(g(x))=x,则称g(x)是f(x)的一个反函数.如果g(x)的值域就是f(x)的定义域M,易知对一切x∈M也有g(f(x))=x,这时g(x)是f(x)的唯一的反函数,f(x)也是g(x)的唯一的反函数,称两者互为反函数.
例如,反正弦函数arcsinx的定义域是[-1,1],这是sinx的值域;而arcsinx的值域
包含于sinx的定义域(-∞,+∞),且对一切x∈[-1,1]有sin(arcsinx)=x,故arcsinx是sinx的一个反函数;同理,g(x)=2π+arcsinx也是sinx的一个反函数.若在
上定义一个函数f(x)=sinx,则f(x)和arcsinx互为反函数.
命题5.4 若f(x)在区间I上有定义且其值域为[A,B],定义于[A,B]的g(x)是f(x)的一个反函数.若有正数m使对I中任意两数a和b有
![]()
则g(x)在[A,B]上差商有界.
证明 对于[A,B]中任意两数u和v,令a=g(u)、b=g(v);因为g(x)是f(x)的一个反函数,故a=g(u)、b=g(v)都在I中,且f(a)=u与f(b)=v不同.这时不等式(5-16)成为

即|g(u)-g(v)|<
,可见g(x)在[A,B]上差商有界.
关于反函数的乙函数,则有下列事实:
命题5.5 设F(x)在[a,b]上单调递增,其值域为[A,B];G(x)定义于[A,B]而值域为[a,b],和F(x)互为反函数.如果f(x)在[a,b]上是F(x)的乙函数且恒为正,则
是G(x)在[A,B]上的乙函数.
证明 任取[A,B]的子区间[u,v],记G(u)=y和G(v)=z.因f(x)是F(x)的乙函数,故有[y,z]上的r和s使得

记F(s)=p和F(r)=q,将y=G(u)、z=G(v)、s=G(p)和r=G(q)代入得

此不等式取倒数得

即推知
是G(x)的乙函数.证毕.
从上面几个命题看,差商有界函数是很广泛的一类函数.例如,所有的多项式函数都是差商有界的;可以写成有理分式的函数除了个别点也是差商有界的.下面会看到,初等函数除了个别点外都是差商有界的.
我们这样关心差商有界的函数,它有什么好的性质呢?
命题5.6 (差商有界函数的连续性)设f(x)在开区间I上差商有界而A<B是任意两数,p是I中一点使f(p)∈(A,B).则必有两数α<β满足p∈(α,β)⊆I,使对任意x∈(α,β)有f(x)∈(A,B).
在证明此命题前,最好先直观地看看这个命题包含了什么意义.为了简便,这里和今后都把包含点p的开区间叫做p的一个邻域.如此一来,命题中的(A,B)不过就是f(p)的一个邻域,而(α,β)是p的某个邻域.于是命题告诉我们,差商有界函数f如果把p变到f(p),就必然把p的某个领域的所有点变到f(p)的邻域中!这大有“一人得道,鸡犬飞升”之意!
具体一些,如果(A,B)=(0,+∞),f(p)∈(A,B)即f(p)>0;如果(A,B)=(-∞,0),f(p)∈(A,B)即f(p)<0;因此作为命题的特款就可以断言:若f(p)>0则f在p的某个邻域全取正值,若f(p)<0则f在p的某个邻域全取负值!这叫“保号性”.
具有命题5.6结论所述性质的函数叫做I上的连续函数.命题5.6也就是说:差商有界函数是连续函数.注意连续函数不一定差商有界.容易验证f(x)=
在(-∞,+∞)上具有命题5.5结论所述性质,但从例题5-4可知它不是差商有界的.
命题5.6的证明 在I中取两数a、b使a<p<b因为f(x)在开区间I上差商有界,故有正数M使对[a,b]中的点x有
![]()
记d=min{|f(p)-A|,|f(p)-B|},δ=Md,则当x∈(p-δ,p+δ)时总有|x-p|<δ=
,从而|f(x)-f(p)|≤M|x-p|<Mδ=d,即f(x)∈(A,B).令α=p-δ且β=p+δ,即为所求(图5-4).
命题5.6刻画了连续函数的本质.后面将进一步阐述其重要应用.讨论一般的连续函数难度偏大,所以我们知难而退,将比较容易把握的差商有界函数作为主要研究对象.对差商有界函数熟悉清楚之后,再推广到一般情形是很容易的.

图5-4 差商有界函数f把p的邻域映到f(p)的邻域
习题5—1 求证函数f(x)=|x|在(-∞,+∞)上差商有界,并求它在[a,b]上的一个李普西兹常数.
习题5—2 求证函数f(x)=x3在(-∞,+∞)上差商有界,并求它在区间[a,b]上的一个李普西兹常数.
习题5—3 求证函数f(x)=x+
在(-∞,0)∪(0,+∞)上差商有界,并求它在区间[a,b](a·b>0)上的一个李普西兹常数.
习题5—4 求证函数f(x)=
(x∈(-∞,+∞))在(-∞,+∞)上非差商有界,但在不含0的任意区间上差商有界;并对0<a<b求它在[a,b]上的一个李普西兹常数.
习题5—5 求证函数f(x在(-∞,+∞)上差商有界,并求它在[a,b]上的一个李普西兹常数.
习题5—6 设函数f(x)在[a,b]上有李普西兹常数M,求证函数g(x)=f(x)-(M+0.001)x在[a,b]上递减.
习题5—7 在[a,b]上任取两点u和v可以确定函数f(x)=x2在u和v处的差商Q(u,v).请讨论Q(u,v)的取值范围.