第七讲 四则运算求导公式扩大战果
从第1讲开始,我们就知道了几个函数的导数计算公式,接下来我们知道,这几个函数的导数也都是乙函数,而且差商有界;更进一步知道,差商有界的乙函数都是强导数.利用乙函数和强导数的定义,我们用严谨清楚的不等式代替了直观但一时还说不清的极限概念,并且进一步求出了xn和sinx的导数(而且是强导数).运用这些函数的导数,解决了一批原本看起来比较困难的问题:求曲线的切线、求函数的最值、估计某些函数的数值等.
为了更广泛地应用导数知识,就要知道更多函数的求导公式.根据定义一个函数一个函数地推导,显然是个笨办法.开始用笨办法求几个函数的导数,是必要的.进一步,应当在此基础上提升,扩大战果.
其实,前面也用了扩大战果的思想.利用命题2.3和乙函数与强导数的关系,如果知道了f(x)的强导数,就能求出f(x)+k·x+C的强导数和f(k·x+C)的强导数:
(f(x)+k·x+C)′=f′(x)+k;
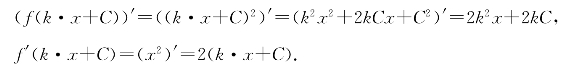
(f(k·x+C))′=k·f′(k·x+C).
注意上面后一个等式中求导记号的写法:表达式括弧外的一撇(f(k·x+C))′,表示先将k·x+C代入f(x)再求导;而函数名上的一撇f′(k·x+C),则表示先求导再把k·x+C代入.例如设f(x)=x2,则

显然两者有所不同,前者多一个常数因子k.
有了这样的公式,在计算函数f(x)=(3x+2)13的导数时,就不必展开.直接用公式得到f′(x)=((3x+2)13)′=3·13(3x+2)12=39(3x+2)12.这就是扩大战果的好处.
由此自然联想到要问,知道了f(x)和g(x)的导数,能不能据此计算出两个函数的和、差、积、商的导数?
下面的几个命题,圆满地实现了这个扩大战果的设想.
命题7.1 (函数和的求导法)若f(x)和g(x)都在区间I上强可导,则函数f(x)+g(x)也在区间I上强可导,且有
![]()
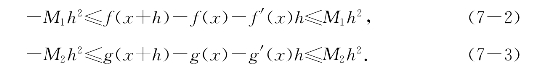
证明 根据强可导的定义和题设,对于任意闭区间[a,b]⊆I,有正数M1和M2使对[a,b]中任意的x和x+h有下列不等式成立

两式相加,记H(x)=f(x)+g(x),得

记M1+M2=M,可将上式写成
![]()
由定义可知f′(x)+g′(x)在I上是H(x)=f(x)+g(x)的强导数.
由于-g(x)显然强可导且有(-g(x))′=-g′(x),故可知f′(x)-g′(x)在I上是f(x)-g(x)的强导数.
有了上面的命题,所有多项式函数的导数都容易计算了.
命题7.2 (函数积的求导法)若f(x)和g(x)都在区间I上强可导,则函数f(x)·g(x)也在区间I上强可导,且有
![]()
证明 根据强可导的定义和题设,对于任意闭区间[a,b]⊆I,有正数M1和M2使对[a,b]中任意的x和x+h有不等式(7-2)和(7-3)成立.记

则有
![]()
此外,由命题6.2可知有正数A使对[a,b]中任意x和x+h有

将(7-7)和(7-8)移项得

两式相乘得

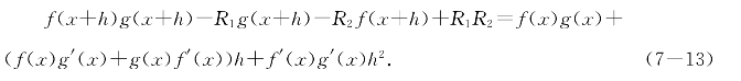
记H(x)=f(x)g(x),由(7-13)移项再用不等式(7-9)和(7-10)得
|H(x+h)-H(x)-(f(x)g′(x)-g(x)f′(x))h|
=|f′(x)g′(x)h2+R1g(x+h)+R2f(x+h)-R1R2|
≤|f′(x)g′(x)h2|+|R1g(x+h)|+|R2f(x+h)|+|R1R2|
<A2h2+M1Ah2+M2Ah2+M1M2h4
![]()
根据强导数的定义,(7-14)表明f(x)g′(x)+g(x)f′(x)是函数H(x)=f(x)g(x)在[a,b]上的强导数,因[a,b]是I的任意闭子区间,故它也是H(x)=f(x)g(x)在I上的强导数,即所欲证.
有了函数之积的求导公式,容易从一些简单的等式导出新的等式甚至求导公式.
例题7—1 求函数f(x)=x2sinx的导数.
解 f′(x)=(x2sinx)′=x2·(sinx)′+(x2)′·sinx=x2cosx+2xsinx.
例题7—2 试从(x)′=1出发推导xn(n为正整数)的求导公式.
解 用函数积求导公式可得
(x2)′=(x·x)′=x′·x+x′·x=x+x=2x,(https://www.daowen.com)
(x3)′=(x2·x)′=(x2)′·x+x′·x2=2x2+x2=3x2,
(x4)′=(x3·x)′=(x3)′·x+x′·x3=3x3+x3=4x3,
……
由此猜想有一般公式(xn)′=nxn-1.对n作数学归纳.若对n=k>1有(xk)′=k·xk-1,则有
(xk+1)′=(xk·x)′=(xk)′·x+x′·xk=k·xk+xk=(k+1)xk,
这证明了一般公式(xn)′=nxn-1成立.
回顾一下,是不是比按定义直接求要方便?
例题7—3 根据(sinx)′=cosx,猜想
的表达式.
解 将等式sinx·
两端求导数得

即
,解得
.
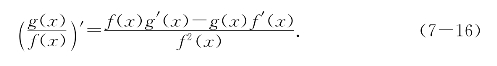
利用函数乘积的求导公式,容易从形式上导出两函数之商的求导公式.这只要对等式
·f(x)=g(x)两端求导,得到

由(7-15)解出
,便可以猜想到两函数之商的求导公式:
命题7.3 (函数商的求导法)若f(x)和g(x)都在区间I上强可导且对任意x∈I有f(x)≠0,则
在区间I上强可导且

这样从函数积的求导公式引出函数商的求导公式,要假定商函数
强可导.虽缺严谨推导,但便于记忆.微积分的不少定理公式,都是人们先直观地看出来或大致地算出来,然后再严谨求证的.学习微积分,也要学这样的似然推理,这样有利于把知识联系起来,不但便于记忆,也能启发创新思维.
应当说明,在中学课程里不要求严谨证明这些求导公式,只要记住并会用就可以了.
在(7-16)中取g(x)=1,便得到函数的倒数的求导公式.反过来,如果先知道了函数的倒数的求导公式,应用函数乘积的求导公式就能推出函数商的求导公式.下面的命题证明了闭区间上函数倒数的导数公式,为证明函数商的求导公式提供了基础.
命题7.4 (闭区间上函数倒数的求导法)设f(x)在区间[a,b]上强可导,且有正数B使得对任意x∈[a,b]有|f(x)|≥B;则
在[a,b]上强可导且

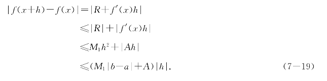
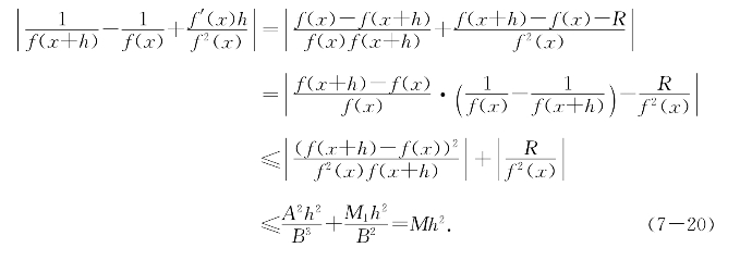
证明 记R=f(x+h)-f(x)-f′(x)h.由题设条件和强导数定义以及命题6.2,可知有正数M1和A使得对[a,b]上的任意两点x和x+h有诸不等式
![]()
从而有

记N=M1|b-a|+A,于是得

这里记M=
,则不等式(7-20)的两端表明
在[a,b]上的强导数是
,故(7-17)成立.即所欲证.
细心的读者会注意到,在命题7.4中要求|f(x)|在[a,b]上有正的下界B,而在命题7.3中的条件仅仅是f(x)≠0.这就有一个问题:在闭区间上的差商有界的正值函数是否一定有正的下界?这个问题将在第18讲中回答(命题18.4的推论2).
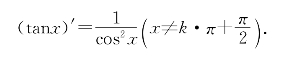
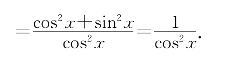
例题7—4 求证正切函数tanx在其定义域上强可导,且有

解 应用命题7.3得


习题7—1 求下列函数的导数:
(i)f(x)=x100-5x4+3x3-x2+x+88;
(ii)f(x)=(x5-1)(x10-x5+1);
(iii)f(x)=x2sinx+2xcosx-2sinx;
(iV)g(x)=sin2(x2+1)+cos2(x2+1);
(V)g(x)=
;
(Vi)f(x)=
.
习题7—2 试从两函数之积的求导公式,推导三个函数之积的求导公式.
(f(x)g(x)h(x))′=f′(x)g(x)h(x)+f(x)g′(x)h(x)+f(x)g(x)h′(x).
习题7—3 试推导余切函数求导公式.
习题7—4 对下列等式两端求导数,看看得到什么.
(i)sin2x=2sinx·cosx;
(ii)tan(x+a)=
.