3.2 精讲例题与分析
2026年01月14日
3.2 精讲例题与分析
3.2.1 基本习题讲解

从而上述的闭区间列构成了一个区间套.利用区间套定理,得到数列{xn},{yn}都收敛,且有相同的极限.
注 此题亦可利用“单调有界数列必收敛”得到证明.
例3.2 设函数f(x)于(−∞,+∞)内单调有界,{xn}为数列,则下列命题中正确的是( ).
(A)若{xn}收敛,则{f(xn)}收敛;(B)若{xn}单调,则{f(xn)}收敛;
(C)若{f(xn)}收敛,则{xn}收敛;(D)若{f(xn)}单调,则{xn}收敛.
解 由单调性定义与数列的单调有界定理,知(B)正确。
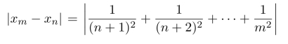
例3.3 利用Cauchy收敛原理证明数列

为收敛的.
证明 任意正整数m,n(m>n),


成立.(https://www.daowen.com)
3.2.2 拓展习题讲解
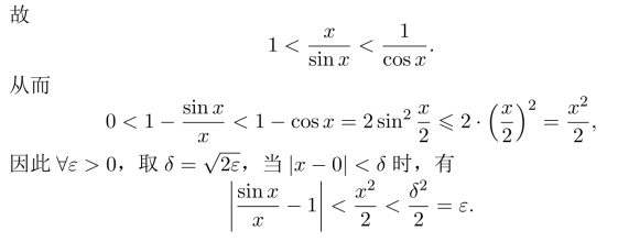
例3.5 用ε−δ语言证明:


例3.7 用定义证明下面函数的极限.

在点x=0处没有极限.
证明f(x)在x0点没有极限的分析表述:
对于任意的A∈R,如果存在ε0>0,对任何δ>0,总存在一点xδ,满足0<|xδ−x0|<δ,但是
![]()
就称f(x)在点x0处没有极限.
下面给出本题的证明:对于任意的A∈R,先设A≥0,取ε0=
,则对于任意的δ>0,取n0足够大,可以使得

按照定义知,函数
在点x=0处没有极限.