4.1 本课重点内容提示
1.函数极限的四则运算
设limf(x)=a,limg(x)=b,则有
(1)limf(x)±g(x)=a±b,(2)limf(x)g(x)=ab,

应当注意的是,使用四则运算的前提是两个极限均存在.且有如下结论:
•若limf(x)存在,limg(x)不存在,则limf(x)±g(x)一定不存在.
•若limf(x)=a≠0,limg(x)不存在,则limf(x)g(x)一定不存在.
•若limf(x)g(x)存在,且limf(x)存在,limg(x)不存在,则limf(x)=0.

例 设对任意的x,总有φ(x)≤f(x)≤g(x),并且满足

2.函数极限的性质
(1)函数极限的唯一确定性(这和数列极限的性质是相同的).
若极限
存在,则它的极限值是唯一的.
(2)函数极限的局部有界性(去心邻域内有界).
若极限
则存在M>0,δ>0,当0<|x−x0|<δ时,有
![]()
(3)函数极限的保序性(也称保号性).

特别当g(x)≡0时,即
=A>0,存在δ>0,当0<|x−x0|<δ时,有f(x)>0,也就是在某一邻域内保持了函数的符号(与极限值的符号相同),称为函数极限的保号性.
与数列的极限的性质相似,有下面的问题:
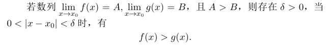
例 若函数的极限满足
![]()
且存在δ>0,当0<|x−x0|<δ时,有f(x)≥g(x),证明A≥B.
反过来,若存在δ>0,且当0<|x−x0|<δ时,有f(x)>g(x),是否A>B一定成立?(读者可参看数列极限的相关性质得到答案)
(4)若
=A,则有![]()
3.海涅(Heine)定理
设f(x)在点x0的某一邻域内有定义,则lim
f(x)=A的充分必要条件是,对于任意的数列有(https://www.daowen.com)
![]()
(1)Heine定理给出了函数极限和数列极限的一个等价关系.对于数列的极限,可以化为相应的函数的极限来求.如果对应的函数的极限存在,则数列的极限也存在,且为同一极限(详见本课拓展习题中的例4.5).而函数的极限一般不能用相应的数列的极限去求,因为任意的相应的数列都要验证,这是一件不能完成的事情.
(2)xn≠x0,这一点正是对应了函数极限中的f(x)在x0点可能无定义的情形.
(3)利用Heine定理的逆否命题,构造不同的数列,如果某数列不收敛,或者两个不同数列收敛到不同的极限,则可以证明函数的极限不存在.例如证明
极限不存在.
4.函数极限的判定方法、特殊函数的极限
(1)夹挤定理、Cauchy准则同数列的极限.
(2)利用Heine定理判定.
(3)两类特殊函数的极限:

注 应当注意的是极限
而不是e.
5.无穷小量和无穷大量
(1)以零为极限的变量称为无穷小量.
(2)无穷大量和无界是两个不同的概念,注意区别.
任意正数M>0,总存在δ>0(或X>0),当0<|x−x0|<δ(或|x|>X)时,有
![]()
成立,则称函数f(x)为当x→x0(或x→∞)时的无穷大量.
例 证明f(x)=xsinx在(−∞,+∞)内无界.
(3)函数(数列)的极限的无穷小量表示
![]()
(4)无穷小量的比较实际上是
型不定式的极限,不同的极限值表示两个无穷小量的不同关系,可分为高阶无穷小量、同阶无穷小量、等价无穷小量三类.
一些常用的等价无穷小量,当x→0时,
![]()
等等.
在求函数的极限中,可以利用等价无穷小量进行替换,使求极限的运算变得简单,即如果


结合使用,求一些函数的极限很方便.