4.2 精讲例题与分析
2026年01月14日
4.2 精讲例题与分析
4.2.1 基本习题讲解
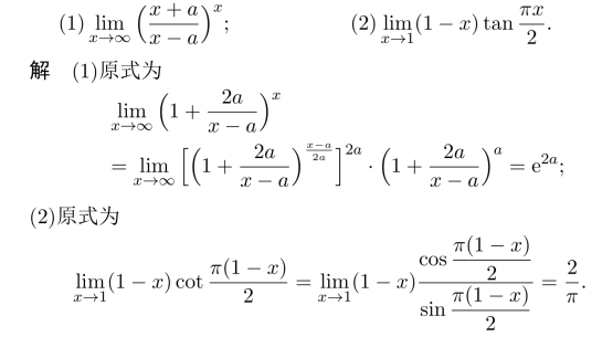
例4.1 求下列函数的极限.

例4.2 说明tanx−sinx和sinx当x→0时,两个无穷小量的关系.
解 由于

故前者为后者的高阶无穷小量.


4.2.2 拓展习题讲解
例4.4 利用Cauchy收敛原理叙述f(x)在+∞处极限存在.
解 ∀ε>0,都存在X>0,使得当任意两点x>X,x′>X时,就有(https://www.daowen.com)
![]()
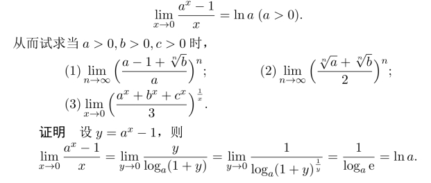
例4.5 证明:

利用Heine定理,可知(1)、(2)中的数列的极限可以看做是相应的函数的极限,如果对应的函数的极限存在,则数列的极限也存在,且为同一极限.这种求极限的方法就是“利用函数的极限求数列的极限”,而基础是Heine定理.

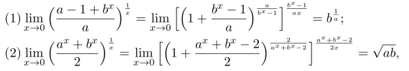
从而可得到前两小题的极限值.第三小题可类似求解,原式为

例4.6 求下列函数的极限:

例4.7 证明:y=sinx当x→+∞时极限不存在.

其中,两次利用了特殊函数的极限.