综合训练五 期末练习
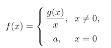
习题1 设g(x)在x=0处二阶可导且g(0)=0.试确定a的值,使函数

在x=0处可导,并求f′(0).
习题2 设函数

证明:f(x)在x=0点可导,并求f′(0).
习题3 设g(x)是有界函数,讨论


在x=0点的可微性,若可微,求出df(x)|x=0.进行排序,使排在后面的是前一个的高阶无穷小,则正确的排列次序是什么?
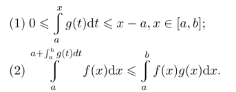
习题9 设f(x),g(x)在[a,b]上连续,且满足


试证{xn}收敛.
习题16 求曲线sin(xy)+ln(y−x)=x于(0,1)处的切线方程.
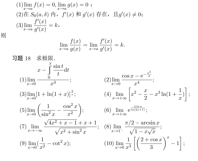
习题17 设函数f(x)和g(x)在点a的一个去心邻域S0(a,δ)内有定义,且满足条件:


习题19 设f(x)在区间[a,b]上具有二阶导数,且
![]()
证明:存在ξ∈(a,b),η∈(a,b),使得
![]()
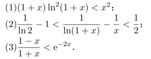
习题20 设x∈(0,1),证明:
(https://www.daowen.com)
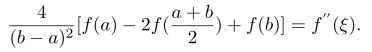
习题21 设函数f(x)在闭区间[a,b]上具有连续的二阶导数,证明:存在ξ∈(a,b),使得

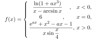
习题22 设函数表达式为

试问:
(1)当a为何值时,f(x)在x=0点处连续?
(2)当a为何值时,x=0为函数f(x)的可去间断点?
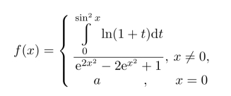
习题23 设

在x=0处连续,则a的值是多少?
习题24 设函数f(x)在(−L,L)内连续,在x=0可导,且f′(0)≠0.
(1)求证:对于任意给定的0<x<L,存在0<θ(x)<1,使得

习题25 设数列{xn}满足
0<x1<π,xn+1=sinxn,n=1,2,···

习题26 证明不等式

习题29 设f(x),g(x)于区间[a,b]上连续,且f(x)单调增加,0≤g(x)≤1,证明:

习题30 设奇函数f(x)于[−1,1]上有二阶导数,且f(1)=1,证明:
(1)存在ξ∈(0,1),使f′(ξ)=1;
(2)存在η∈(−1,1),使f′′(η)+f′(η)=1.