综合训练四 定积分部分
2026年01月14日
综合训练四 定积分部分
习题1 求下列函数的极限.

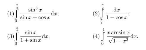
习题2 求下列函数的定积分.

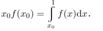
习题3 设函数f(x)在[0,1]上连续,且f(x)为非负函数,证明存在x0∈(0,1),使

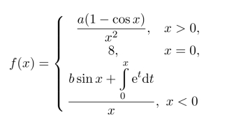
习题6 设

连续,试确定常数a,b.
习题7 在曲线y=lnx上的点(t,lnt)(2<t<6)处作曲线的切线,求此切线与直线x=2,x=6以及曲线y=lnx所围平面图形的面积A(t),并求A(t)的最小值.
习题8 在xOy坐标平面中,连续曲线L过点M(1,0),其上任意点P(x,y)(x≠0)处的切线斜率与直线OP的斜率之差等于ax(常数a>0).
(1)求L的方程;
(2)当L与直线y=ax所围成平面图形的面积为
时,确定a的值.
习题9 已知曲线L的方程
(https://www.daowen.com)
(1)讨论L的凹凸性;
(2)过点(−1,0)引L的切线,求切点(x0,y0),并写出切线的方程;
(3)求此切线与L(对应x≤x0部分)及x轴所围的平面图形的面积.
习题10 在曲线y=x2(x≥0)上某点A作一切线,使之与曲线及x轴所围成图形的面积为
,试求:
(1)A点的坐标;
(2)过切点A的切线方程;
(3)该图形绕x轴旋转一周所成旋转体的体积.
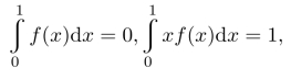
习题11 设函数f(x)在[0,1]上连续,且

证明:
(1)存在ξ∈[0,1],使得|f(ξ)|>4;
(2)存在η∈[0,1],使得|f(η)|=4.
习题12 设f(x)
|dt(x>0),求f′(x)及f(x)的最小值.