导文网
搜索
首页>
图书频道>
理学>
数学物理化学
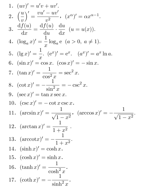
附录B 基本导数公式
2026年01月14日
版权
附录B 基本导数公式
(https://www.daowen.com)
上一章
下一章
目录