导文网
搜索
首页>
图书频道>
理学>
数学物理化学
附录A 三角函数变换公式
2026年01月14日
版权
附录A 三角函数变换公式
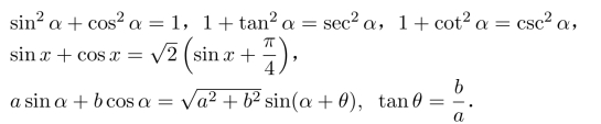
1.三角恒等式
2.两角和差公式
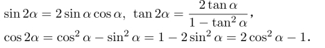
3.倍角、半角公式
(https://www.daowen.com)
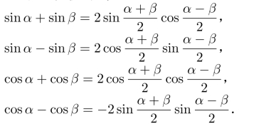
4.和差化积公式
5.积化和差公式
(其中r为三角形内切圆半径,S
△
为△ABC的面积),
上一章
下一章
目录