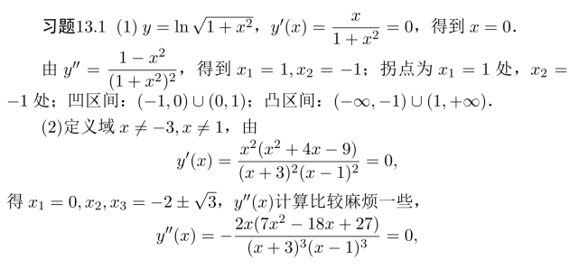
附录E 课外练习答案与提示
E.1 第一课答案


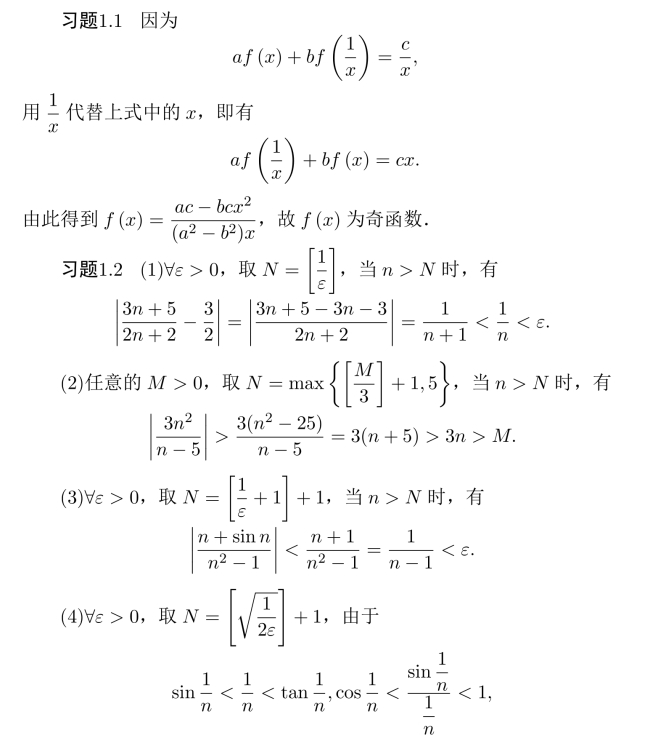
(2)xn不以a为极限;存在ε0>0,对于任意的正整数N,总存在一项xn(n>N),使得
![]()
成立.
下面证明sinn不以任何实数A为极限.

其中kn为正整数,依赖于n,但是

A>0时的情形类似可以得到.故sinn不以任何实数A为极限.
习题1.7 注意到n!=n·(n−1)·(n−2)···1
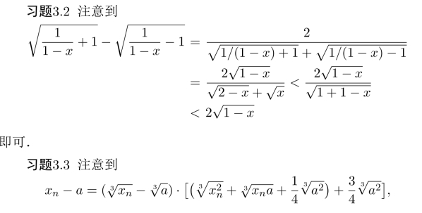
即可.
习题1.8 当a>0时,利用定义容易证明

利用夹挤定理得到证明。
E.2 第二课答案

(3)注意到

则数列单调增加且有上界,故数列{xn}收敛,同习题2.3,可求得极限值为3.
习题2.5 由于

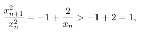
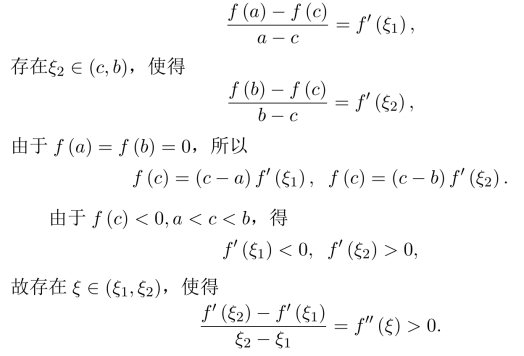
所以xn+1>xn,数列{xn}单调增加且有上界.由单调有界定理,可知数列{xn}收敛.设极限为A,由
![]()
知2A2=2A,得到A=1,A=0(舍去).
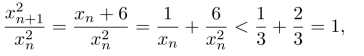
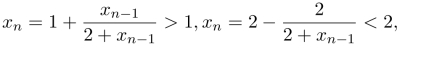
习题2.6 x1>3,x2=4>3,可以归纳证明,得xn>3,故

所以xn+1<xn,xn单调减少且有界,知数列{xn}收敛且极限为3.

方法二,由极限ε−N定义亦可得到,证明从略.


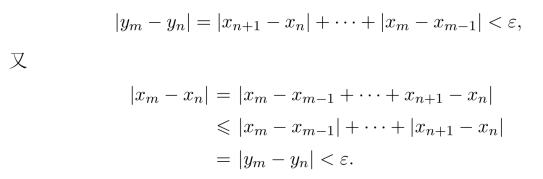
习题2.12 令yn=|x2−x1|+···+|xn−xn−1|,则数列{yn}单调增加且有界,故{yn}收敛,由Cauchy收敛原理,对于∀ε>0,存在N,当m>n>N时,

故由Cauchy收敛原理,得知数列{xn}收敛.
习题2.13 (2)、(3)、(5)在基本习题中已讲解;(1)较简单,不再给出证明;(4)的证明需用到区间套定理,将在第三课中给出证明.
E.3 第三课答案


即可得到证明.
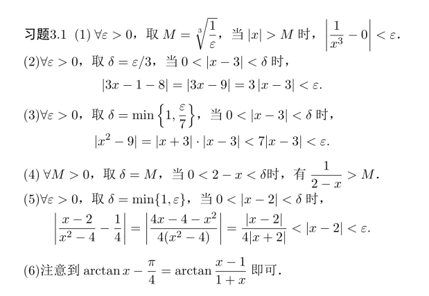
习题3.4 ∀ε>0,取δ=amin{(eε−1),(1−e−ε)},当0<|x−a|<δ时,有
可同理证明.

习题3.5 利用左右极限求得,极限值为1.
习题3.6 对于任意实数x0,当选取不同的数列(有理数数列、无理数数列)逼近x0时,极限值不同,故
不存在。
习题3.7 证明致密性定理:有界数列{xn}必有收敛子列.
证明:设数列{xn}有界,则存在a,b,使得对于任意的自然数n,有a≤xn≤b,将[a,b]二等分,其中至少有一个区间包含有数列{xn}的无限多项,记为[a1,b1],再将[a1,b1]二等分,将含有{xn}无限多项的区间记为[a2,b2],···,得到一闭区间列,且

E.4 第四课答案
习题4.1 (1)原式为


注 本题也可以利用函数的极限的四则运算的结论来解.具体地,由原式得

得

所以a=9,由

得b=−12.
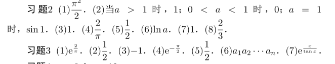
习题4.5 答案为选项(D).
习题4.6 答案从略.
习题4.7 a,b的值为a=1/5,b=7/5.
E.5 第五课答案
习题5.1 (1)原式为

习题5.2 答案为
(1)第一类间断点;(2)第一类间断点;
(3)可去间断点;(4)连续.
习题5.3 x=0为可去间断点,x=2为第二类间断点.
习题5.4 由于

故函数f(x)于x=−1点连续,x=1点为第一类间断点,于其他点连续.
习题5.5 当α>0,β=−1时连续;α>0,β≠−1时为第一类间断点;α≤0时f(0+0)不存在,故为第二类间断点.
习题5.6 可由定义证明.
习题5.7 经过计算,得

同理可得x3,x4为可去间断点.
习题5.8 求极限得f(x)=
,x=0为可去间断点,x=kπ(k=±1,±2,···)为第二类间断点.
E.6 第六课答案
习题6.1 (1)先证明f(x)在(0,1],[1,+∞)上为一致连续函数,再利用习题6.7的结论或者仿照习题6.7的证明得到本题的证明.同时从本题目还可以看出,区间I上的一致连续函数未必有界.
(2)由基本习题讲解中例6.3,取ε0=1,
类似地可以证明xsinx于(−∞,+∞)非一致连续.
习题6.2 由于f(x)于(0,1)内连续,且f(0)=−1<0,f(1)=n≥1>0,故存在x1∈(0,1),使得f(x1)=0,且当x>1时,不可能有xn+nx−1=0,故正数解x1∈(0,1),设有两个解x1,x2,则
![]()
习题6.3 令F(x)=f(x)−g(x),在[a,b]上利用零点存在定理即可得到证明.
习题6.4 (1)函数f(x)在区间I上为一致连续,如果对于每一个ε>0,存在δ>0,使得当x′,x′′∈I且|x′−x′′|<δ时,成立
![]()
(2)注意到下式,根据一致连续的定义很容易得到证明.
![]()
注 若没有“有界性”这一条件,结论还成立吗?

故极限值![]()
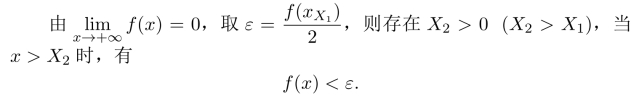
习题6.6 如果f(x)≡0,x∈[a,+∞),则命题得证.
假设存在一点X1,且f(X1)>0,则f(x)在[a,X1]上达到最大值,记最大值点为xX1,且f(xX1)>0.

因此,f(x)在[a,+∞)上的最大值一定在[a,X2]上达到,命题得证.
f(x)于[a,+∞)上未必有最小值,例如f(x)=
x∈[1,+∞)便是反例.
习题6.7 由f(x)在区间(a,b]上一致连续,任意的ε>0,存在δ1>0,使得当任意的x′,x′′∈(a,b]且|x′−x′′|<δ1时,成立
![]()
由f(x)在区间[b,c)上一致连续,对于上述的ε>0,存在δ2>0,使得当任意的x′,x′′∈[b,c)且|x′−x′′|<δ2时,成立|f(x′)−f(x′′)|<ε.
取δ=min(δ1,δ2),当x′,x′′∈(a,c)且|x′−x′′|<δ时,不妨设x′≤x′′,若x′,x′′∈(a,b]或者x′,x′′∈[b,c)时,均有
![]()
若x′∈(a,b],x′′∈[b,c)时,有
![]()
习题6.8 先证明充分条件,由于f(x)在(a,b)上连续,则存在f(a+0)和f(b−0),定义
![]()
f(x)于[a,b]上连续,故f(x)于[a,b]上一致连续,所以f(x)于(a,b)上一致连续.
再证必要条件,若f(x)在(a,b)内一致连续,即任意的ε>0,存在δ>0(δ<b−a),使得当任意的x1,x2∈(a,b)且|x1−x2|<δ时,有
![]()
将x1,x2取在(a,a+δ)内或在(b−δ,b)内,由Cauchy收敛准则知f(a+0),f(b−0)存在且有限.
E.7 综合训练一答案
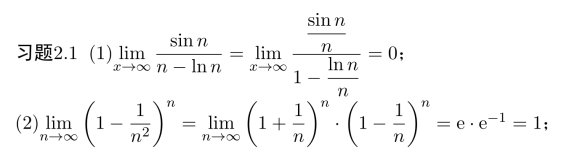
习题1 (1)利用Stolz定理或者类似于Stolz定理的证明.(2)和(3)由定义容易证明.

习题4 a=9,b=−12.
习题5 a=1,b=−4.
习题6 从略.
习题7 利用Stolz定理得到证明.
习题8 (1)数列{xn}单调下降且有界,得证极限为零;(2)利用习题7的结果证明.
习题9 e.
习题10 x=0为第二类间断点.
习题11 证明设

习题12 (1)数列的有界性,由

因此数列有界.
(2)由于

E.8 第七课答案
习题7.1 由于


可以较容易地讨论F′(x).
习题7.7 (1)连续性显然,


(B)正确;(C),(D)均不正确,反例为f(x)=sinx.
(2)(C)正确.
(3)(D)为选项.
习题7.12 (1)(B)正确;(A)只能得到
(0)存在;(C)为主干成立的必要而非充分条件;(D)不正确.
(2)(C)正确.
(3)(D)正确.
习题7.13 把绝对值根据x的定义域去掉,得到分段函数表达式,可得x=0,x=1处不可导,x=−1处可导.
习题7.14 由左右导数的定义可得函数的可导性,(D)为正确选项.
E.9 第八课答案

习题8.6 (1)注意到复合函数求导的链式法则,

E.10 第九课答案

E.11 第十课答案
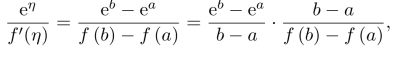
习题10.1 ∀x∈(0,1),在(0,x),(x,1)分别利用Lagrange中值定理,存在ξ1∈(0,x),使得

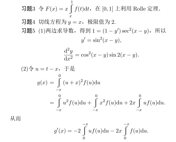
习题10.2 设g(x)=xf(x),利用Rolle定理得到证明.
习题10.3 利用g(x)=f(a+cx)−f(a−cx),利用Lagrange中值定理可得到证明.
习题10.4 存在ξ1∈(a,c),使得

习题10.5 由于存在η∈(a,b),使得

再利用Lagrange中值定理,存在ξ∈(a,b),使得

习题10.6 任意的正数是令F(x)=f(x)[f(1−x)]k,则
F(0)=F(1)=0,x∈(0,1)
存在ξ∈(0,1),使得
F′(ξ)=f′(ξ)[f(1−ξ)]k−kf(ξ)[f(1−ξ)]k−1f′(1−ξ)=0,
由f(x)>0,两边同除以[f(1−ξ)]k−1,得到
![]()
习题10.7 第一步利用反证法,由Rolle定理导出矛盾;
第二步令G(x)=f(x)g′(x)−f′(x)g(x),利用Rolle定理得到证明.
习题10.8 令F(x)=f(x)·eg(x),利用中值定理可得到证明.
习题10.9 (1)令F(x)=f(x)+x−1,利用零点定理,可以得到.
(2)在[0,ξ],[ξ,1](ξ为(1)中的ξ)上分别利用Lagrange中值定理,存在η1∈(0,ξ),η2∈(ξ,1),使得

所以f′(η1)·f′(η2)=1.
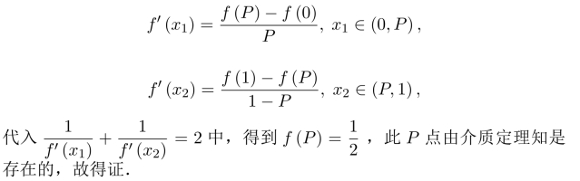
习题10.10 设P∈(0,1),在(0,P),(P,1)上利用Lagrange中值定理,

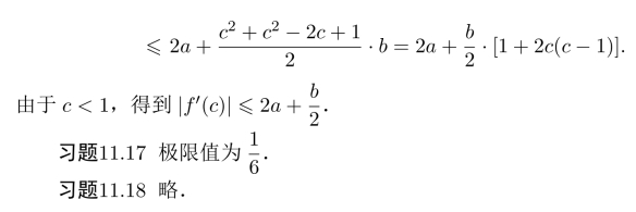
习题10.11 取z>0且z>a,则f(x)在区间[a,z]上存在最大值M,最小值m,如果M=m,则f(x)在区间[a,z]上为常数,则∀x∈[a,z],f′(x)=0.
如果M≠m,设M>m,则M,m中必有一个不为f(a),不妨设m<f(a).

由ε的取值,当x>z1时,f(x)>m,因此f(x)在区间[a,+∞)上的最小值m′于(a,z1]上达到,又x>z1时f(x)>m,因此f(x)在区间(a,z1+1)内有最小值m,由Fermat定理,得f′(ξ)=0,ξ∈(a,z1+1).
习题10.12 同习题10.10,当f(P)=
时满足要求,即可证明结论.
习题10.13 略.
习题10.14 略.
习题10.15 令h(x)=f(x)−g(x),
若f(x),g(x)于同一点x0∈(a,b)达到最大值,则h(x0)=0;
若f(x),g(x)分别于x1,x2达到最大值,则(https://www.daowen.com)
![]()
利用连续函数的零点存在定理,知在x1和x2间存在x0,使得f(x0)=0.再连续两次使用中值定理,得证.
习题10.16 利用函数极限的性质,存在x1∈(a,b)使得f(x1)>0,再分别在[a,x1]及[x1,b]上利用Lagrange中值定理,可得证明.
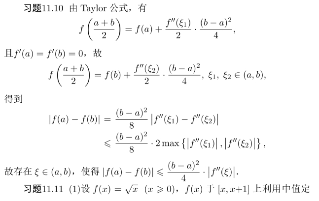
E.12 第十一课答案


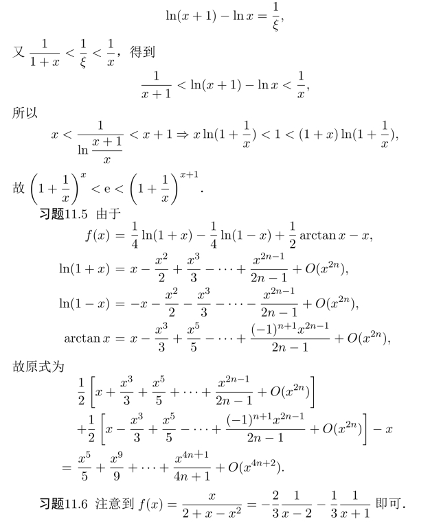
注 本题亦可利用L’Hospital法则来做,但是稍复杂一些.
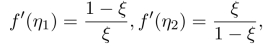
习题11.4 (1)设f(x)=lnx,在[1,x]上利用Lagrange中值定理,存在ξ∈(1,x),使得

即ex>ex.
(2)设f(x)=lnx,则当x>0时,在[x,x+1]上利用Lagrange中值定理,存在ξ∈(x,x+1),使得


习题11.9 构造函数,利用函数的导数的性质得到证明.



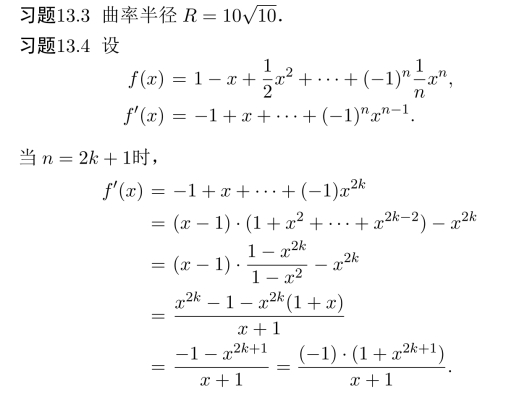
E.13 第十二课答案

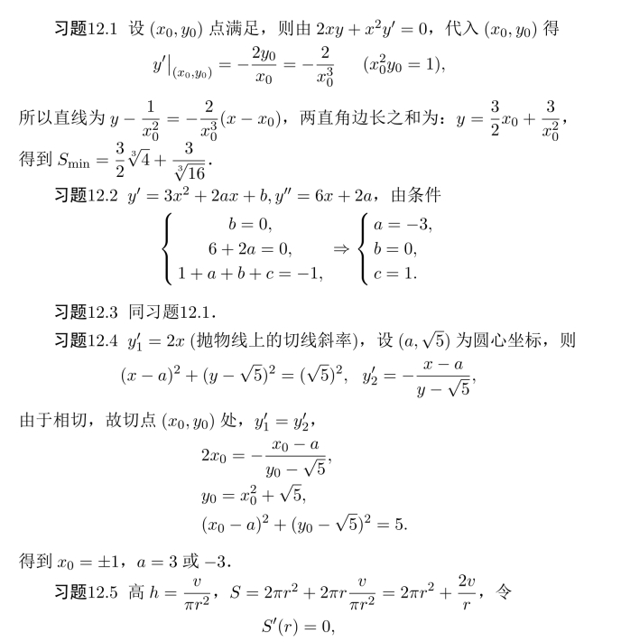
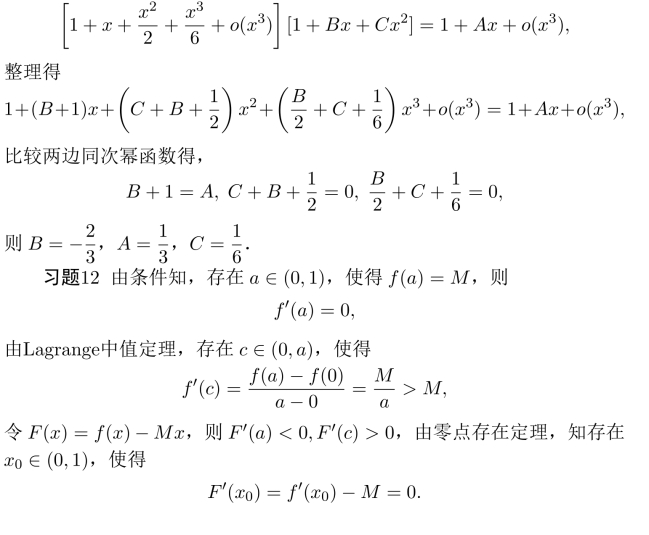
得到

习题12.6 略.
习题12.7 考虑0<x<1,x>1,x=1三种情况,将不等式化简,利用其导数的性质或者利用中值定理得到证明.
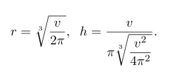
习题12.8

当x∈(0,1)时,y′(x)>0,y(x)单调增加;
当x∈(1,2)时,y′(x)<0,y(x)单调减少;
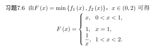
当x∈(2,3)时,y′(x)>0,y(x)单调增加,故由y(0)=0,y(1)=1,y(2)=0,y(3)![]()
习题12.9 (1)由于

故g(x)于x=0点连续.
(2)由定义,得

当x<0时,同理可以得到证明.

可据此确认凸区间、凹区间、拐点及极值,x轴为水平渐近线等.
习题12.11 由于f′(0)=f′′(0)=f′′′(0)=0,f(4)(0)=1>0,A为答案.
习题12.12 函数y=e−x2sinx2为一偶函数,令t=x2,则求
![]()
的极值即可,由

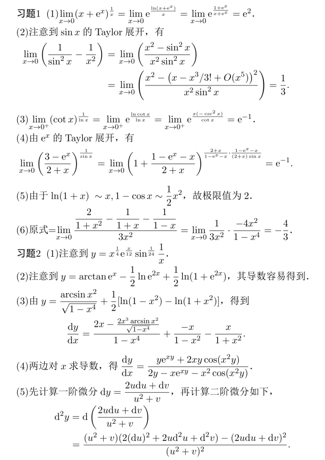
E.14 第十三课答案


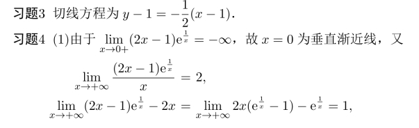
垂直渐近线x=−1,斜渐近线为y=x−1.

当x∈R时,f′(x)<0,故f′(x)单调减少,又f(0)=1,f(x)<0,当x>1时,故存在唯一实根.
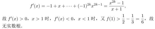
当n=2k时,

习题13.5 单增区间为(−∞,−1)和(0,+∞),单减区间为(−1,0).
![]()
函数图形的渐近线为y=eπ(x−2)和y=x−2.
E.15 综合训练二答案


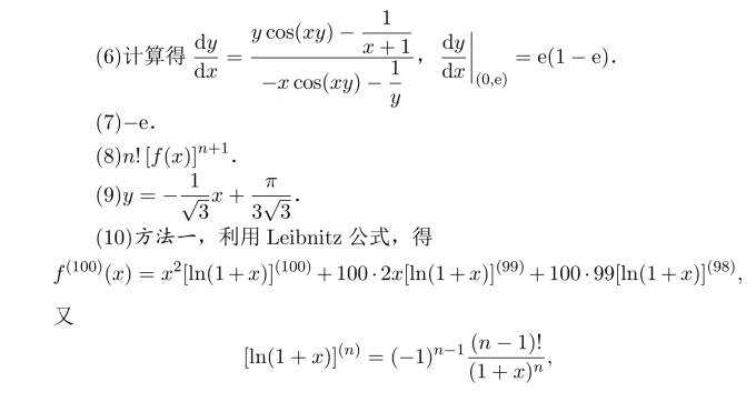
所以f(100)(0)=−9900·97!.
方法二,利用Taylor公式,将ln(1+x)在x=0点做Taylor展开,亦可得到.
(11)二阶导数值为−3.

所以水平渐近线为y=2x+1.
(2)y=
,x=ξ,ξ满足2cosξ−5ξ=0.
习题5 因为f′(x)>0,则f(x)严格单调增加,f′′(x)>0,则f(x)是上凹的,又∆x>0,故0<dy<∆y.选择答案为(A).
习题6 从略.
习题7 从略.
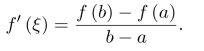
习题8 (1)令F(x)=e−xf(x),在[a,b]上利用Rolle定理得到.
(2)由f′(a)f′(b)>0,不妨设二者均大于0,则

由函数的极限的性质,存在x1,x2∈(a,b)且x1<x2,使得
![]()
故由零点存在定理,存在ξ∈(a,b),使得f(ξ)=0.
令F(x)=exf(x),在[a,ξ]和[ξ,b]上利用Lagrange中值定理,知存在ξ1∈(a,ξ),ξ2∈(ξ,b),满足
![]()
再令G(x)=e−x(f(x)+f′(x)),在[ξ1,ξ2]上利用Lagrange中值定理,可以得到证明.
注 由f′(a)f′(b)>0,知存在ξ∈(a,b),使得f(ξ)=0,若f(a)=f(b)=0,则存在ξ1∈(a,ξ),ξ2∈(ξ,b),使得f′(ξ1)=f′(ξ2)=0,这一结果很重要,请读者注意.
习题9 利用三次中值定理.
习题10 令F(x)=ex(f(x)−1),利用Rolle定理可得到命题的证明.
习题11 Taylor公式ex=1+x+x2/2+x3/6+o(x3)代入已知等式得
[

习题13 通过条件及无穷小比较,可得到f(x)=2x2+o(x2),所以

习题15 参考第七课中右导数和导函数的右极限证明.
习题16 利用Taylor展开,极限值为1/4.
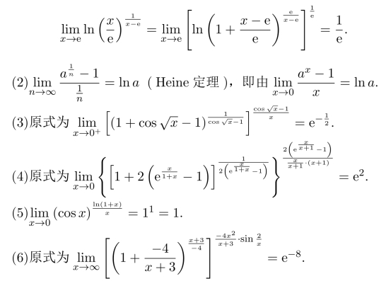
习题17 (1)极限值为3e/2,(2)e1/3,(3)−1/2,(4)e−1/2,(5)![]()
习题18 a=−1,b=−1/2,k=−1/3.
E.16 第十四课答案
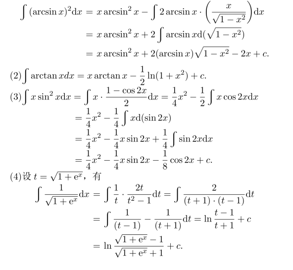
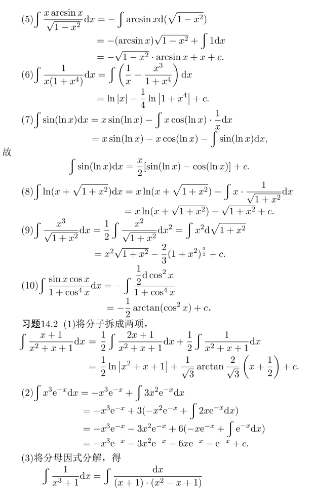
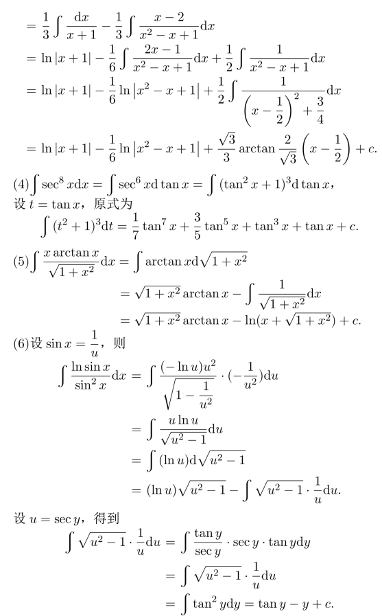
习题14.1 (1)由分部积分,得



代回原变量即可.或者,原式为
![]()

习题14.3 由原函数的连续性,(D)为正确选项.
习题14.4 由于


亦可考虑n为奇数、偶数时,递推计算,可得结果.这里从略.
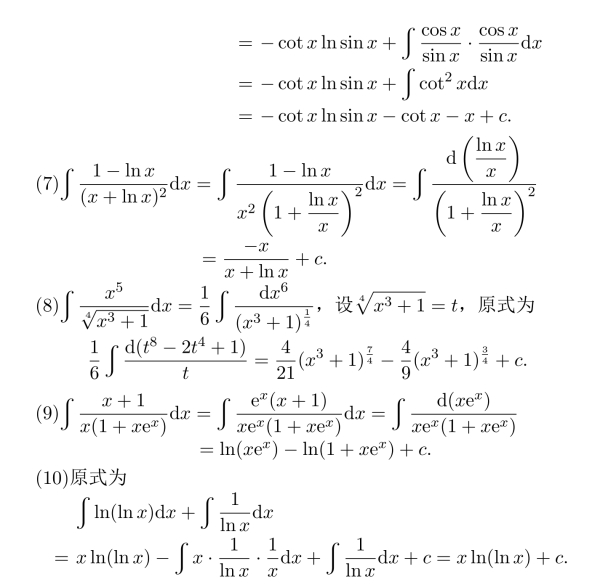
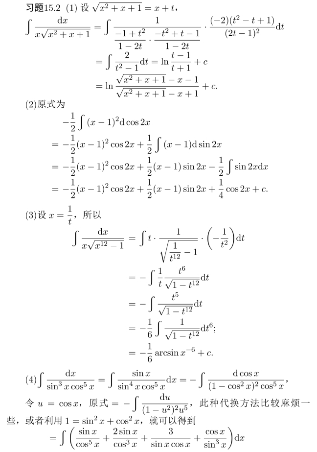
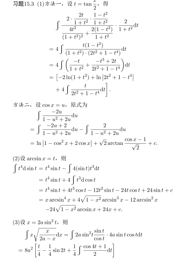
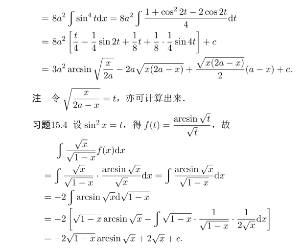
E.17 第十五课答案

(4)答案略.


(5),(6),(7),(8)答案从略.


E.18 综合训练三答案


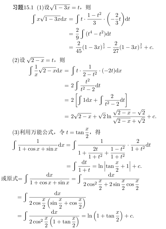
再换回变量.



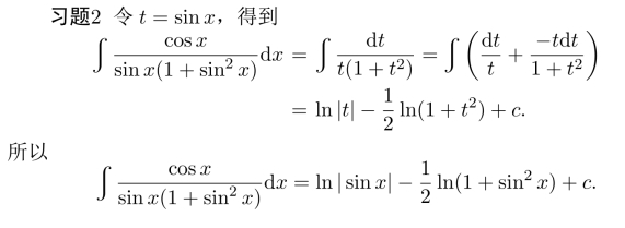
E.19 第十六课答案


故于[ξ,1]上,G(x)=xf(x)连续,在(ξ,1)内可导,由微分中值定理得:存在y∈(ξ,1),使得

故存在y∈(ξ,1)⊂(0,1),得到ηf′(η)+f(η)=0.
习题16.7 利用积分中值定理及Lagrange中值定理可证得.
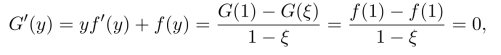
习题16.8 由Schwarz不等式,有

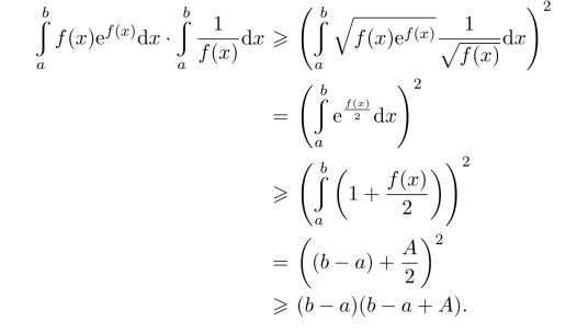
注 本练习也可以利用二重积分的知识求解.记

习题16.10 用导数定义证明.
习题16.11 由积分中值定理,存在η∈(0,2/π),使得ef(η)arctanη=π/4,令F(x)=ef(x)arctanx,则由微分中值定理,存在ξ∈(η,1),使得F′(ξ)=0,得证.
E.20 第十七课答案
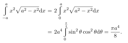
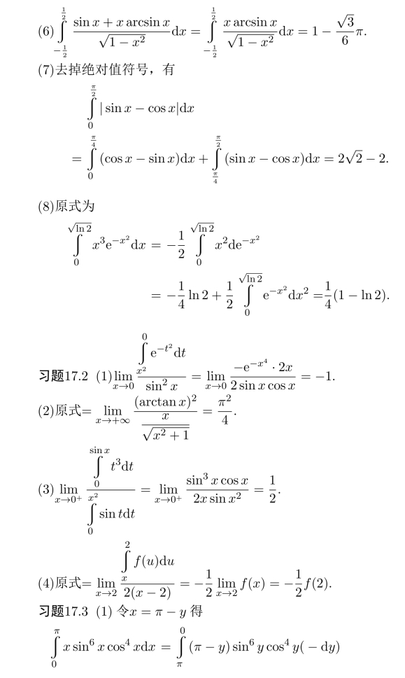
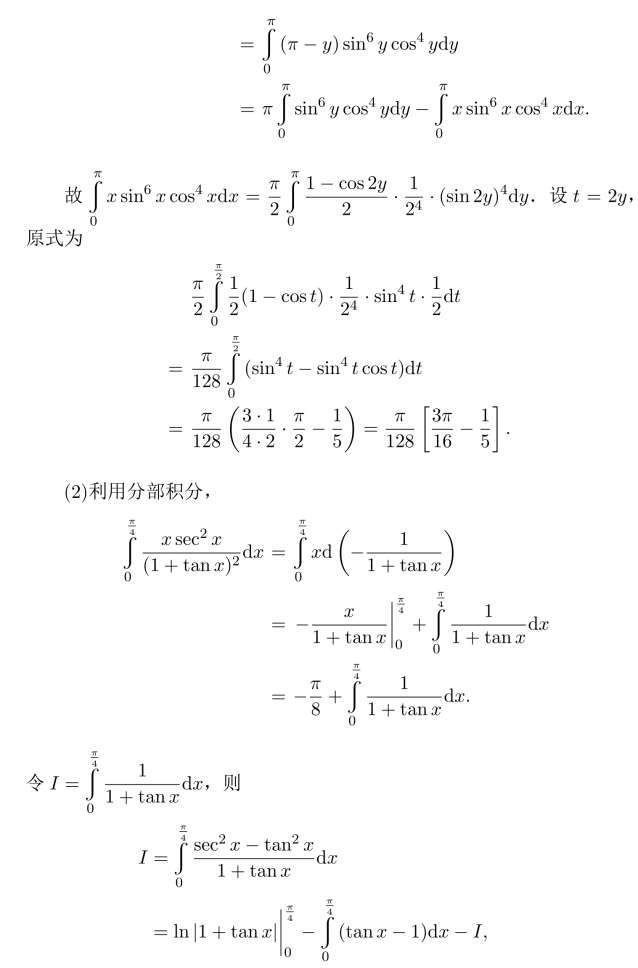
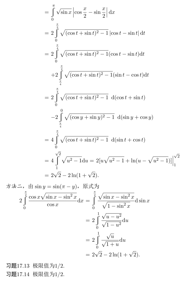
习题17.1 (1)原式为

(2)利用偶函数的积分性质,有

(3)利用分部积分,得






习题17.15 计算函数的一阶导数和二阶导数,可得单增区间(−1,0)∪(1,+∞),单减区间为(−∞,−1)∪(0,1),极小值f(−1)=f(1)=0,极大值f(0)=1/2−1/(2e).
E.21 第十八课答案

E.22 综合训练四答案

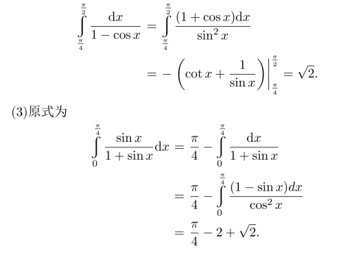
(2)被积函数分子分母同乘以1+cosx,得

(4)定积分值为1.

习题6 a=16,b=7.

所以曲线L(在t>0处)是上凸的.
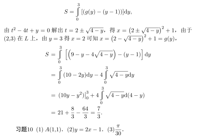
(2)点为(2,3),切线方程为y=x+1.
(3)设L的方程x=g(y),则

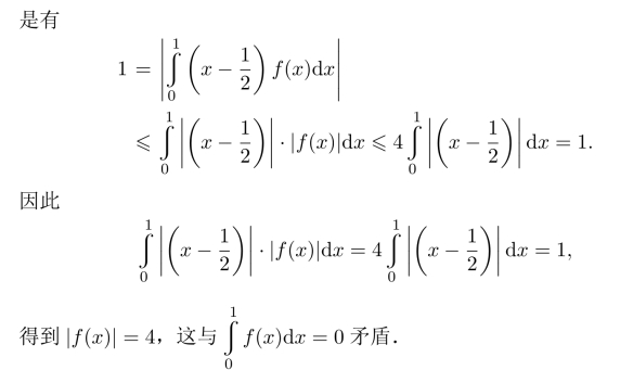
习题11 (1)利用反证法,假设当x∈[0,1],恒有|f(x)|≤4成立,于

(2)仍然使用反证法,只需要证明存在x1∈[0,1],使得|f(x1)|<4即可.如若不然,则必有f(x)≥4或者f(x)≤−4成立,这与
矛盾.再由连续性及(1)的结果,利用介值定理,可以得到(2)的证明.
习题12 f′(x)=4x2−2x,最小值f(1/2)=1/4.
E.23 综合训练五答案


习题7 旋转体的体积为π(e−1).
习题8 利用变上限定积分的导数的运算,得到α=O(x),β=O(x3),γ=O(x2).

命题得证.
习题10 a=−1,b=0.



习题15 利用三角不等式和Cauchy判别法则可得到证明.
习题16 切线方程为y=x+1.
习题17 参考教科书证明.


习题19 由f′(a)f′(b)>0,不妨设二者均大于0,根据导数的定义,存在x1,x2∈(a,b)且x1<x2,使得f(x1)>0,f(x2)<0,故由零点存在定理,存在ξ∈(a,b),使得f(ξ)=0.再利用Rolle定理.
习题20 从略.
习题21 f(a),f(b)均在
做Taylor展开,再相减,可得结果.
习题22 (1)a=−1;(2)a=−2.

(2)由

习题26 -28答案从略.
习题29 (1)由g(x)的有界性可得;
