§3.1 随机过程与无穷维空间上的概率测度
Brown运动的构造不是一件平凡的事情,首先要知道怎么去构造一个连续时间的随机过程,这是Kolmogorov在他为概率论建立公理的专著中给出的一个方法,就是通过有限维分布族来构造无限维空间上测度.为了讲清楚构造定理的背景,我们要说明从分布的意义来说,随机过程就是无穷维空间上的概率测度.
设(Ω,F,P)是概率空间,T是任意一个指标集,X=(Xt:t∈T)是其上的以(E,E)为状态空间(不妨设E是Euclid空间)的随机过程(确切地说应该称为可测映射族).为了叙述更加清楚方便,我们需要引入一些符号和名词.用IT表示T的有限有序子集全体,即
![]()
对I=(t1,···,tn)∈IT,记En为EI,用XI或X(t1,···,tn)表示映射
![]()
则XI是Ω到EI的可测映射.测度

是空间(EI,EI)上由XI诱导的测度,也就是X在时间点I上的有限维分布.确切地,对任何A1,···,An∈E,
![]()
再记有限维分布族为LX:={μI:I∈IT}.
例3.1.1 最重要的一个随机过程是Gauss过程.一个随机过程称为是Gauss过程,如果它的任何有限维分布是正态(Gauss)分布.让我们用Hilbert空间来构造一个Gauss过程.设指标集T是一个内积为〈·,·〉的Hilbert空间H,取一个标准正交基{en:n≥1}.再取一个概率空间及其上一个独立且都服从标准正态分布的随机序列{ξn:n≥1},定义随机指标集为H的随机过程

那么X=(X(h):h∈H)是一个Gauss随机过程(场)且
![]()
即X是一个等距映射.
定义3.1.1 分别在概率空间(Ω,F,P)和(Ω′,F′,P′)上定义的且有相同的状态空间(E,E)与相同的指标集T的随机映射族X,X′称为是等价的(同分布的),如果它们有相同的有限维分布族,即对任何I=(t1,···,tn)∈IT T,

现在我们来说明从等价的意义上说,随机过程(随机映射族)可以表示为状态空间的无穷乘积空间上的概率测度.固定ω∈Ω,t
Xt(ω)是T到E的映射.故我们需要考虑T到E的映射组成的空间.用ET表示从T到E中的映射x=(x(t):t∈T)全体组成的集合,ET中的元素有时也称为轨道,而ET通常称为轨道空间,它实际上是E的T次自乘的乘积空间.对于x∈ET,令Zt(x):=x(t),它是ET到E上的投影,也称为坐标算子,因为x(t)也称为x在t处的坐标.令ET是ET上让所有投影{Zt:t∈T}成为可测映射的最小σ-代数,即
![]()
它也称为是柱集生成的σ-代数.空间(ET,ET)由E和T决定,称为典则空间,所以Z=(Zt:t∈T)是(ET,ET)上的可测映射族,称为典则过程.而且每个在给定概率空间(Ω,F,P)上以E为状态空间,以T为指标集的随机过程X=(Xt)将在典则空间上给出一个概率测度.利用像测度的方法,我们只要再构造一个联系两个空间的一个可测映射就够了,一个自然的映射就在那里,它把样本ω∈Ω映射为样本轨道t
Xt(ω),记为Φ.
练习3.1.1 验证Φ是可测映射.
这样概率P被Φ推送到典则空间上形成一个概率
![]()
定理3.1.1 在μ之下,轨道过程Z=(Zt)与X=(Xt)等价.
练习3.1.2 验证它们有相同的有限维分布族.
以上定理告诉我们,构造随机过程等价于在典则空间上构造一个概率测度.如果LX={μI:I∈IT}是随机过程X的有限维分布族,那么它必然满足下面的相容性:
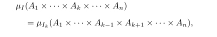
(1)如果I=(t1,···,tn),A1,···,An是E的可测子集,k1,···,kn是1,···,n的一个重排,那么
![]()
(1)设I=(t1,···,tn)∈IT,A1,···,An∈E,如果对某个1≤k≤n有Ak=E,则

其中Ik:=(t1,···,tk-1,tk+1···,tn).也就是说当I⊂J都是T的有限子集时,μI是μJ的在对应分量上的边缘分布.
定义3.1.2 测度的集合
![]()
称为是E上的一个有限维分布族,如果对每个I∈IT,μI是乘积空间(EI,ET)上的概率测度.E上的有限维分布族L={μI:I∈IT}称为是相容的有限维分布族,如果它满足上面的相容性条件.
一个随机过程产生的有限维分布族总是相容的.那么给定E上的一个相容的有限维分布族L,是否存在一个概率空间(Ω,F,P)和其上的一个随机过程X,使X的有限维分布族恰是L?如果存在,就说有限维分布族L可以实现,而概率空间(Ω,F,P)和过程X是L的一个实现.简单地说,上面的问题等价于:一个相容的有限维分布族是否一定可以实现?
回过头再看看随机变量,如果ξ是(Ω,F,P)上n-维随机变量,分布为μ,它实际上是P在ξ下的像,而在概率空间(Rn,B(Rn),μ)上定义随机变量I(x)=x,那么I的分布也是μ.这说明什么呢?说明一个分布可以由状态空间Rn上一个给定的随机变量I实现.随机过程也是如此.
下面我们将介绍随机过程的构造定理,也就是Kolmogorov的相容性定理,它断言在一个好的状态空间上的相容的有限维分布族是可以实现的,这是现代概率论的基石.首先让我们介绍典则空间也就是无穷维乘积空间的概念,它将在随机过程的构造理论中扮演重要的角色.
对I=(t1,···,tn)∈IT,x∈ET,令
![]()
则φI是ET到EI上的投影.对T的两个有限子集I⊂J,令
![]()
它是EJ到EI的投影.对任何H∈EI,
![]()
ET的形式如上的子集称为是ET的一个柱集.记ET的所有柱集为

![]()
说一个有限维分布族可以在典则空间上实现,如果典则空间上有一个概率P使得轨道过程的有限维分布族恰是给定的有限维分布族.(https://www.daowen.com)
引理3.1.2 一个有限维分布族有一个实现当且仅当它可以在典则空间上实现,称为典则实现.
下面我们将证明Kolmogorov相容定理.用我们引入的符号,相容性(3.1.1)等价于说如果I⊂J⊂T,则μI是μJ在投影之下的像,即

定理3.1.2 (Kolmogorov)设E是完备可分度量空间,E是对应的Borelσ-代数,则(E,E)上的任何相容的有限维分布族一定有一个实现.
证明.设L={μI:I∈IT}是(E,E)上的一个相容的有限维分布族.让我们先在柱集类ET0上构造一个集函数P如下:

(1)P(ET)=1,P(∅)=0;
(2)如果A∈ET0,P(Ac)=1-P(A);
(3)(有限可加性)如果A,B∈ET0且A∩B=∅,则
![]()
练习3.1.3 验证性质(3).


注意到在上面定理中E要求是一个完备可分的度量空间,因为这时其上的任何概率测度是正则的.
定理3.1.3 (Ulam)完备可分度量空间E上的概率测度μ必定是正则的,即对任何B∈B(E),有
![]()
证明.由定理1.2.1 ,我们只需证明B=E的时候对就可以了.由可分性,对任何n,存在半径为1/n的可列个球{An,k:k≥1}覆盖E,那么对任何n有

故存在in使得

用K表示A的闭包,那么K是紧集且μ(K)≥μ(A)>1-ε.
练习3.1.5 对于Borel集B证明(3.1.2).
例3.1.2 最简单的随机过程是Gauss过程,Gauss过程的有限维分布是正态分布,正态分布是由其期望和协方差矩阵决定的.设f是T×T上的非负定函数,即满足对任何n≥1,t1t2,···,tn∈T,矩阵(f(ti,tj):1≤i,j≤j)是对称非负定的.这时让μ(t1,···,tn)是期望为零且以此为协方差矩阵的正态分布,容易验证它组成一个满足相容性条件的有限维分布族.
在连续时间场合,最重要的随机过程是独立增量过程.
例3.1.3 对应于离散时间的独立随机变量列的和,连续时间时称为独立增量过程.设T=[0,∞),X=(Xt:t≥0)是一个实值随机过程,如果对任何n≥1,0≤t1<t2<···<tn,随机过程的增量
![]()
是独立的,那么X被称为是独立增量过程;如果对任何t>s>0,Xt-Xs与Xt-s-X0同分布,那么我们说X是平稳增量过程;如果X既是平稳增量过程又是独立增量过程,那么我们说X是平稳独立增量过程.
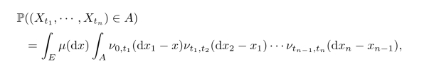
练习3.1.6 证明:如果X是独立增量过程且增量Xt-Xs的分布是νs,t,那么(Xt1,···,Xtn)的联合分布是

其中μ是X0的分布,符号ν(dy-x)是表示关于平移后的测度A
ν(A-x)的积分.
练习3.1.7 证明:一个鞅如果是Gauss过程,那么它一定是独立增量的.
练习3.1.8 设{νt:t≥0}是R上一族概率测度,满足νt*νs=νt+s,证明:
(1)存在L´evy过程X使得Xt-X0的分布是νt;
(2)过程X随机连续当且仅当对任何有界连续函数f,有
![]()
满足这两个条件的概率测度族(νt)被称为是卷积半群.
随机连续的平稳独立增量过程被称为是L´evy过程,以纪念法国概率学者Paul L´evy.现在我们离Brown运动已经越来越近了,因为Brown运动恰是热方程的基本解(称为热核半群)所对应的L´evy过程.
练习3.1.9 设μ是Rd上一个概率测度,定义

证明:(νt)是一个卷积半群.
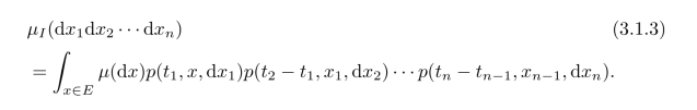
练习3.1.10 设(E,E)是一个可测空间,p(x,dy)被称为E上转移函数,如果对任何x∈E,p(x,·)是(E,E)上的概率测度,而对任何A∈E,p(·,A)是E上可测函数.设有转移函数族
![]()
满足对任何t,s>0,A∈E,有

固定概率测度μ,对任何I={0<t1<t2<···<tn}定义

证明:{μI:I∈IT}是E上相容的有限维分布族.