§3.2 热核半群与Brown运动
所谓Brown运动,它是18世纪植物学家Robert Brown所观察到的粒子在液体表面的无规则运动的数学模型,在这个模型建立的过程中,天才的物理学家A.Einstein和控制理论的创始人N.Wiener的工作是本质性的.本节的主要内容是证明Brown运动的存在性.Brown运动是一个轨道连续的增量分布为正态分布的L´evy过程.
定义

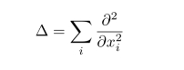
它是一族概率密度函数,且对应的概率测度族{p(t,x)dx}是一个卷积半群,称为热核半群,因为p(t,x)是热传导方程

的基本解(基本解是指初值为0点的单点测度的解),其中

是Laplace算子.
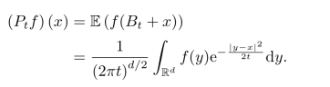
设p(t,x,y)=p(t,x-y),它是x点出发的随机过程在时刻t的位置的分布密度函数,称为是转移概率密度.对任何t>0定义

因为


的解.
练习3.2.1 验证u(t,x)=Ptf(x)是方程(3.2.2)的解.
定义3.2.1 概率空间(Ω,F,P)上的取值于Rd的随机过程B=(Bt)t≥0被称为是Rd上的Brown运动,如果
(1)(Bt)t≥0具有独立增量:对任何0≤t1<···<tn,随机变量
![]()
是独立的;
(2)对任何t>s≥0,随机变量Bt-Bs服从正态分布N(0,t-s),即
![]()
(3)(Bt)t≥0的几乎所有样本轨道连续.
练习3.2.2 证明:定义中(1),(2)两点等价于(Bt1,Bt2,···,Btn)的联合密度是
![]()
另外,如果P{B0=x}=1,x∈Rd,那么我们说(Bt)t≥0是从x出发的Brown运动.特别地,如果P{B0=0}=1,其中0是Rd的原点,那么我们说(Bt)t≥0是标准Brown运动.因为前面已经说过热核半群是一个卷积半群,所以条件(1),(2)可以从Kolmogorov定理推出,而最难的是怎么保证条件(3)成立.(https://www.daowen.com)
标准Brown运动B=(Bt)与Laplace算子Δ(因此调和分析)的联系由下列恒等式体现出来:

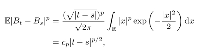
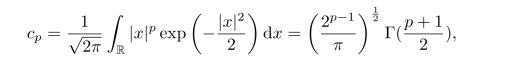
例3.2.1 如果B=(Bt)t≥0是R上Brown运动,那么对p≥0,
![]()
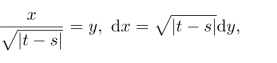
其中cp是依赖p的常数.事实上

做变量替换得

因此我们有

其中

其中Γ(·)是Γ函数.(3.2.4)式对Rd上的Brown运动也是对的,只是常数cp依赖于p与d.
练习3.2.3 对任何ξ∈R,证明:

因为对任何0≤t1<···<tn,Bt1,Bt2-Bt1,···,Btn-Btn-1生成的σ-代数等同于Bt1,Bt2,···,Btn生成的σ-代数,故由单调类定理推出下面的引理,它是独立增量性质的等价表述.
引理3.2.1 对任何t>s≥0,增量Bt-Bs独立于
.
下面是Brown运动的Markov性.
定理3.2.1 设t,s>0,且f是有界Borel可测函数.那么
![]()
其中(Pt)t>0是热核半群.特别地
![]()
成立.

因此d-维标准是1-维Brown运动的d个独立复制.