1.7.2 齐次线性方程组

1.7.2 齐次线性方程组

在方程组(1.13)中,如果b1=b2=…=bn=0,则称方程组(1.13)的线性方程组为齐次线性方程组.

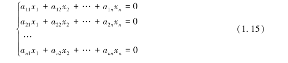
定理1.7.2 如果齐次线性方程组

图示

的系数组成的行列式

图示

那么它只有零解.

证明 由克拉默法则,因为在方程组(1.15)的行列式Di中有一列为零,所以

图示(https://www.daowen.com)

故xi=0,i=1,2,…,n.

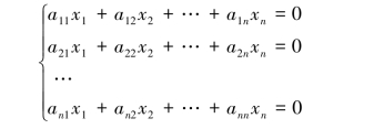
推论1.7.1 齐次线性方程组

图示

有非零解的充分必要条件是系数行列式

图示

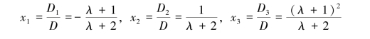
所以方程组的解为

图示