2.2.1 矩阵的加法
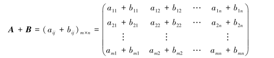
定义2.2.1 设有两个m×n矩阵A=(aij)m×n,B=(bij)m×n,则矩阵A与B的和记作A+B,规定:

注意:两个矩阵进行加法运算的条件是它们是同型矩阵,两个同型矩阵的和即为两个矩阵对应位置元素相加得到的矩阵.
矩阵加法满足下列运算规律(设A,B,C均为m×n矩阵):
(1)A+B=B+A(交换律);
(2)(A+B)+C=A+(B+C)(结合律).(https://www.daowen.com)
设矩阵A=(aij)m×n,记作

则称-A为矩阵A的负矩阵,显然有

由此规定矩阵的减法为
