导文网
搜索
首页>
图书频道>
理学>
数学物理化学
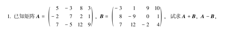
上机实验实习题
2026年01月14日
版权
上机实验实习题
(https://www.daowen.com)
上一章
下一章
目录