导文网
搜索
首页>
图书频道>
理学>
数学物理化学
上机实验实习题
2026年01月14日
版权
上机实验实习题
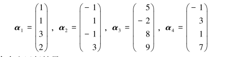
在MATLAB中判断下列向量组是否线性相关,并找出向量组中的一个最大线性无关组:
(https://www.daowen.com)
要求:写出操作命令和运行结果.
上一章
下一章
目录