人口比例的变化

三、人口比例的变化

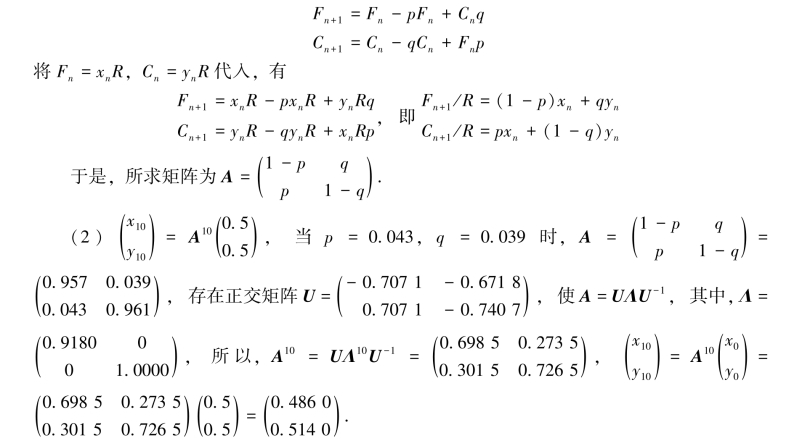
例F2.3 在某个国家里,每年的农村居民依比例p向城镇移居,而城镇居民依比例q向农村移居.假设该国家的总人口数量是一个定值,且人口迁移的规律不变.记n年后农村人口和城镇人口占人口总数的比例依次为xn和yn,显然,xn+yn=1.

图示

解 设该国家的总人口数量是定值R,第n年农村人口和城镇人口分别为Fn,Cn.(https://www.daowen.com)

(1)第n+1年农村人口和城镇人口分别为

图示