▶4.2.2 20结点六面体单元(二次单元)
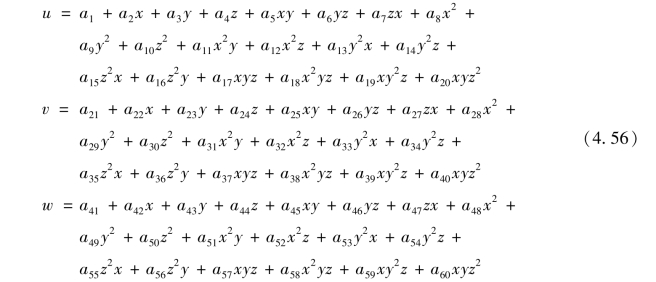
如图4.10所示为20结点六面体,取8个角点,12条棱边的中点。每个结点有3个位移分量,单元共有60个自由度。位移模式可取为:


图4.10 20结点六面体单元
下面考察单元的协调性。
由式(4.56)可知,单元位移函数在各边界上均为x,y,或y,z,或z,x的二次函数。例如,在边界1256面(图4.7),z=常数,单元位移函数u为x,y的二次函数

这表明在变形过程中,u保持为二次曲面,而该曲面方程可由8个结点1,2,5,6,9,13,14,17位移参数唯一确定。因此可以说明,在变形过程中,六面体单元各个边界面与相邻单元保持变形协调。
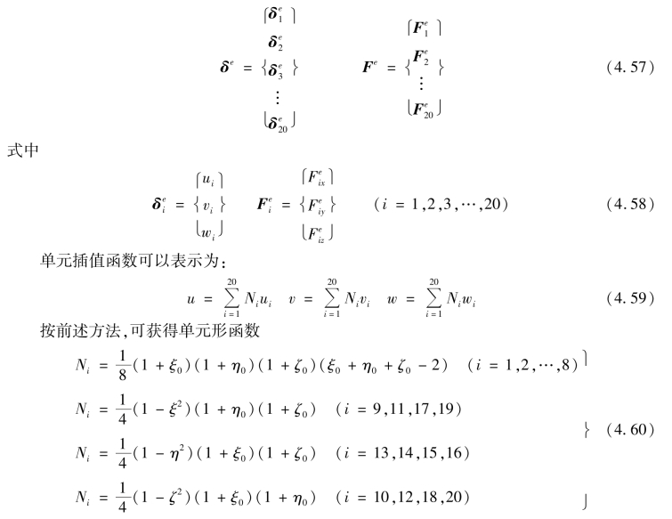
单元结点位移列阵和单元结点力列阵分别为

式中,ξ0=ξiξ,η0=ηiη,ζ0=ζiζ
单元刚度矩阵和单元等效荷载的计算可参照式(4.53)和式(4.55)。