▶4.2.1 8结点六面体单元(一次单元)
如图4.8所示,任意边长为2a×2b×2c的六面体单元,选取8个角结点。

图4.8 8结点六面体单元
(1)单元位移模式
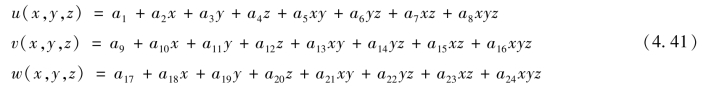
参照图4.4的Pascal三角锥,首先选择完全一次多项式,共有4个参数。其次由二次及以上的项中进行选择,由于单元各棱边各有2个结点,按照单元的收敛性要求,选择对各个坐标均为一次的3项xy,yz,zx和三次项中的xyz这一项。因此,单元位移模式设为

由式(4.41)可知,单元位移函数在各边界上均为x,y,或y,z,或z,x的一次方程。例如,在边界1256面(图4.7),z=常数,单元位移函数u为x,y的一次方程。
![]()
这表明在变形过程中,u保持为平面,而该平面方程可由4个结点1,2,5,6唯一确定。因此可以说明,在变形过程中,六面体单元各个边界面与相邻单元保持变形协调。
单元结点位移列阵为

式中

单元等效力列阵可表示为

式中

(2)局部坐标
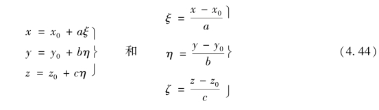
根据六面体单元的几何特性,为便于运算,引入无量纲局部坐标系
![]()
如图4.9所示。
ξηζ与xyz坐标系之间的转换关系为

式中

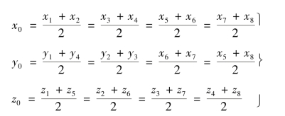
为六面体形心位置坐标。
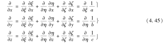
根据复合函数微分法则,由式(3.38),式(3.39)可得


于是,通过坐标变换,任意六面体单元均可变换为边长2×2×2的正六面体单元,如图4.9所示。单元位移形函数的构造将在局部坐标系ξηζ中进行,而此形函数可映射到整体结构中所有六面体单元。

图4.9 局部坐标系下8结点六面体单元(https://www.daowen.com)
(3)单元形函数
单元插值函数可以表示为

写成矩阵形式,则有


同理,可得N2~8。
写作统一格式
![]()
式中 ξ0=ξiξ,η0=ηiη,ζ0=ζiζ。
(4)单元刚度矩阵
单元刚度矩阵可表达为

式中 B——几何矩阵
![]()
其分块形式为

由式(4.45)得

由式(4.46),式(4.50)可简化为

(5)等效结点荷载
设
为单元等效结点荷载
![]()
三维应力单元等效结点荷载一般可表示为

式中
——体力产生的单元等效结点荷载;
——面力产生的单元等效结点荷载。
由式(4.45),则得

关于积分元dS,例如x=常数的面上,dS=dydz=bcdξdη。