▶4.1.4 20结点四面体单元(三次单元)

▶4.1.4 20结点四面体单元(三次单元)

如图4.7所示为20结点四面体单元,设置20个结点。取4个角点,6条棱边的三分点及4个表面的形心。

图示

图4.7 20结点四面体

单元结点位移列阵

图示

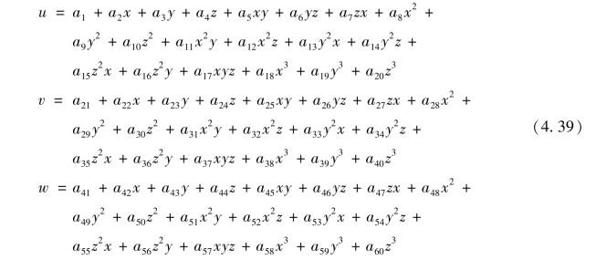
取位移模式为完全三次多项式(https://www.daowen.com)

图示

可以证明,单元为完备协调元。

采用上一节类似方法,可构造单元形函数如下:

图示

单元刚度矩阵和单元等效荷载计算可参照式(4.27)和式(4.33)计算。