▶4.3.1 基本方程
2026年01月14日
▶4.3.1 基本方程
在轴对称问题中,采用圆柱坐标r,θ,z比较方便。这是因为如果以弹性体的对称轴作为z轴,如图4.11所示,则所有的应力分量、应变和位移分量都将只是r和z的函数,不随θ变化。

图4.11 轴对称问题
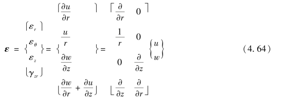
一般总是以对称轴为z轴,任意一个通过这个轴的任一平面rz面都是对称面。由对称条件可知,γrθ=γθr=0,γzθ=γθz=0,则应变分量为
![]()
式中 εr——径向正应变;
εθ——环向正应变;
εz——轴向正应变;
γrz——切应变。
相应的应力分量为
![]()
式中 σr——径向正应力;(https://www.daowen.com)
σθ——环向正应力;
σz——轴向正应力。
由对称条件可知,环向位移uθ=0,因此弹性体任意一点的位移,可以分解为2个分量:径向位移u,轴向位移w,即

由于所有的物理量均为r和z的函数,不随θ变化,因此,下面的讨论将在rz平面内进行。
根据圆柱坐标的几何关系,可以导出轴对称问题的应变-位移关系:

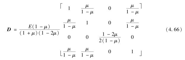
应力-应变关系可以表示为:
![]()
式中
