导文网
搜索
首页>
图书频道>
理学>
数学物理化学
▶7.1.3 弹性曲面的变形
2025年09月26日
版权
▶7.1.3 弹性曲面的变形
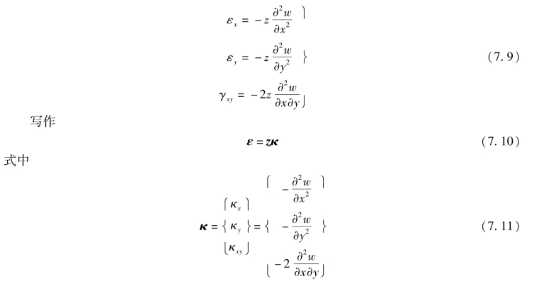
将式(7.5)代入几何方程(7.3),得
称作薄板曲率列阵。其中,
分别为弹性曲面在x和y方向的曲率κ
x
和κ
y
,
为弹性曲面在x和y方向的扭率κ
xy
。曲率和扭率刻画了弹性曲面的变形状态。
上一章
下一章
目录