▶7.1.4 薄板中的内力与变形关系
2026年01月14日
▶7.1.4 薄板中的内力与变形关系
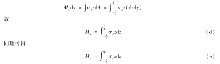
图7.2表示在板内任意点所取微元体dx dy的应力分布情况。

图7.2 微元体应力分布状态
将式(7.10)代入式(7.7),得
![]()
由图7.2(a)可看出,在垂直于x的横截面上,正应力σx合成一个力偶,这个力偶的矩为这个横截面的弯矩。用Mx表示单位宽度上的弯矩[图7.2(a)],则得

从图7.2(b)可看出,由剪应力τxy和τyx分别组成扭矩Mxy和Myx。
(https://www.daowen.com)
式(d)、(e)、(f)就是由应力σx,σy,τxy表达内力Mx,My,Mxy的关系式。可用矩阵形式表达为

式(7.14)表明了薄板内力M与薄板变形κ之间关系。
最后,将式(7.14)代入式(7.12),可得
![]()
式(7.16)为应力σ与内力M之间的关系式。
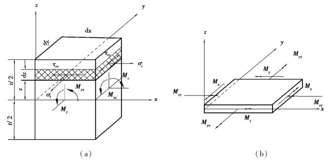
要注意力偶Mx,My,Mxy,Myx的作用面的位置。为了更清晰地表示力偶作用面的位置,以后按右手螺旋法则用双箭头矢量来表示力偶,如图7.3(b)所示。此外,弯矩与扭矩的正方向如图7.3(a)所示。

图7.3 微六面体上内力