▶9.1.3 单元等效结点荷载
记
,则式(9.1)体力可简化为

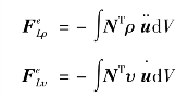
设单元惯性力与阻尼力所产生的单元等效结点荷载分别为
,根据虚功原理可得到

将式(9.3)、式(9.4)代入上式,则有

式中 m——单元质量矩阵;
c——单元阻尼矩阵。

可以看到,单元质量矩阵与阻尼矩阵都是对称矩阵。
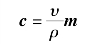
结构的阻尼问题是一个相当复杂的问题,简单的比例阻尼情况下可以得到简化,当ρ,υ在单元之内都是常数时,可得到

即单元阻尼矩阵与质量矩阵是成正比的,称为比例阻尼。
利用虚功原理,可得单元等效结点荷载

将式(9.6)代入得

式中
