答案速查

答案速查

一、选择题

(1)(C). (2)(A). (3)(B). (4)(C). (5)(A). (6)(D). (7)(C). (8)(A).

二、填空题

(9)-1. (10)图示. (12)3. (13)3. (14)σ2+μ2

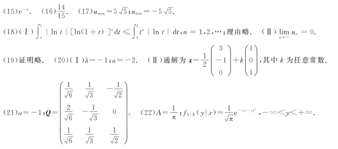
三、解答题(https://www.daowen.com)

图示

(23)(Ⅰ)(X,Y)的概率分布为

图示

(Ⅱ)图示