答案速查

答案速查

一、选择题

(1)(C). (2)(B). (3)(A). (4)(B). (5)(D). (6)(C). (7)(D). (8)(D).

二、填空题

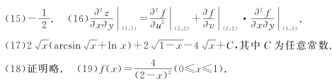
图示

三、解答题

图示

(20)(Ⅰ)a=5. (Ⅱ)β1=2α1+4α2-α32=α1+2α23=5α1+10α2-2α3.(https://www.daowen.com)

图示

(22)(Ⅰ)(X,Y)的概率分布为

图示

(Ⅱ)Z=XY的概率分布为

图示

(Ⅲ)ρXY=0.

图示