答案速查

答案速查

一、选择题

(1)(D). (2)(C). (3)(B). (4)(D). (5)(B). (6)(B). (7)(A). (8)(C).

二、填空题(https://www.daowen.com)

(9)-2. (10)2(1-ln2). (11)ln2. (12)图示,其中C1,C2为任意常数. (13)-1. (14)2e2

三、解答题

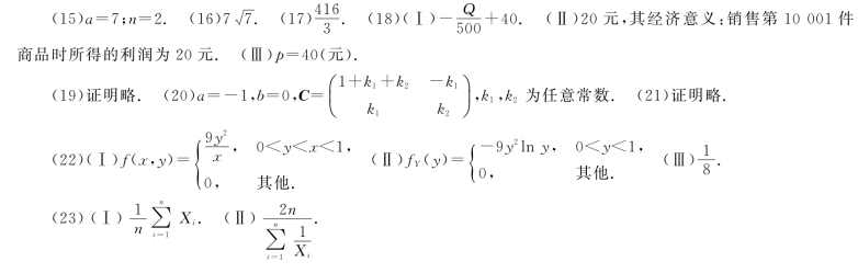
图示