2013年全国硕士研究生入学统一考试数学三试题
姓名_______分数_______
一、选择题:1~8小题,每小题4分,共32分.下列每题给出的四个选项中,只有一个选项是符合题目要求的.
(1)当x→0时,用“o(x)”表示比x高阶的无穷小量,则下列式子中错误的是
(A)x·o(x2)=o(x3).(B)o(x)·o(x2)=o(x3).
(C)o(x2)+o(x2)=o(x2).(D)o(x)+o(x2)=o(x2).
(2)函数
的可去间断点的个数为
(A)0.(B)1.(C)2.(D)3.
(3)设Dk是圆域D={(x,y)|x2+y2≤1}位于第k象限的部分,记
,则
(A)I1>0.(B)I2>0.(C)I3>0.(D)I4>0.
(4)设{an}为正项数列,下列选项正确的是

(5)设A,B,C均为n阶矩阵.若AB=C,且B可逆,则
(A)矩阵C的行向量组与矩阵A的行向量组等价.(B)矩阵C的列向量组与矩阵A的列向量组等价.
(C)矩阵C的行向量组与矩阵B的行向量组等价.(D)矩阵C的列向量组与矩阵B的列向量组等价.
(6)矩阵
相似的充分必要条件为
(
A)a=0,b=2.(B)a=0,b为任意常数.
(C)a=2,b=0.(D)a=2,b为任意常数.
(7)设X1,X2,X3是随机变量,且X1~N(0,1),X2~N(0,22),X3~N(5,32),pi=P{-2≤Xi≤2}(i=1,2,3),则
(A)p1>p2>p3.(B)p2>p1>p3.(C)p3>p1>p2.(D)p1>p3>p2.
(8)设随机变量X和Y相互独立,且X和Y的概率分布分别为

则P{X+Y=2}=
![]()
二、填空题:9~14小题,每小题4分,共24分.

(13)设A=(aij)是3阶非零矩阵,|A|为A的行列式,Aij为aij的代数余子式.若aij+Aij=0(i,j=1,2,3),则|A|=_________.
(14)设随机变量X服从标准正态分布N(0,1),则E(Xe2X)=_________.
三、解答题:15~23小题,共94分.解答应写出文字说明、证明过程或演算步骤.(https://www.daowen.com)
(15)(本题满分10分)
当x→0时,1-cosx·cos2x·cos3x与axn为等价无穷小量,求n与a的值.
(16)(本题满分10分)
设D是由曲线
,直线x=a(a>0)及x轴所围成的平面图形,Vx,Vy分别是D绕x轴,y轴旋转一周所得旋转体的体积.若Vy=10Vx,求a的值.
(17)(本题满分10分)
设平面区域D由直线x=3y,y=3x及x+y=8围成,计算
.
(18)(本题满分10分)
设生产某商品的固定成本为60000元,可变成本为20元/件,价格函数为
(p是单价,单位:元;Q是销量,单位:件).已知产销平衡,求:
(Ⅰ)该商品的边际利润;
(Ⅱ)当p=50时的边际利润,并解释其经济意义;
(Ⅲ)使得利润最大的定价p.
(19)(本题满分10分)
设函数f(x)在[0,+∞)上可导,f(0)=0,且
.证明:
(Ⅰ)存在a>0,使得f(a)=1;
(Ⅱ)对(Ⅰ)中的a,存在ξ∈(0,a),使得
.
(20)(本题满分11分)
设
.当a,b为何值时,存在矩阵C使得AC-CA=B,并求所有矩阵C.
(21)(本题满分11分)
设二次型f(x1,x2,x3)=2(a1x1+a2x2+a3x3)2+(b1x1+b2x2+b3x3)2,记

(Ⅰ)证明二次型f对应的矩阵为2ααT+ββT;
(Ⅱ)若α,β正交且均为单位向量,证明f在正交变换下的标准形为
.
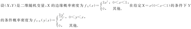
(22)(本题满分11分)

(Ⅰ)求(X,Y)的概率密度f(x,y);
(Ⅱ)求Y的边缘概率密度fY(y);
(Ⅲ)求P{X>2Y}.
(23)(本题满分11分)
设总体X的概率密度为
其中θ为未知参数且大于零.X1,X2,…,Xn为来自总体X的简单随机样本.
(Ⅰ)求θ的矩估计量;
(Ⅱ)求θ的最大似然估计量.