8.4.2 互感
在实际电路中,磁场的变化常常是由于电流的变化引起的,因此把感生电动势直接和电流的变化联系起来是具有重要实际意义的。互感和自感现象的研究就是要找出这方面的规律。
对于闭合导体回路,当其中的电流随时间变化时,它周围的磁场也随时间变化,在它附近的导体回路中就会产生感生电动势。这种电动势叫作互感电动势。

图8.17 互感现象
如图8.17所示,有两个固定的闭合回路L 1和L 2。闭合回路L 2中的互感电动势是由于回路L 1中的电流随时间的变化引起的,以ε21表示此电动势。下面说明ε21与i 1的关系。
由毕奥-萨伐尔定律可知,电流i 1产生的磁场正比于i 1,因而通过L 2所围面积、由i 1所产生的全磁通Ψ21也应该和i 1成正比,即
![]()
其中,比例系数M 21叫作回路L 1对回路L 2的互感系数,它取决于两个回路的几何形状、相对位置、它们各自的匝数以及周围磁介质的分布。对两个固定的回路L 1和L 2来说,互感系数是一个常数。在M 21一定的条件下,电磁感应定律给出
![]()
如果图8.17所示回路L 2中的电路i 2随时间变化,则在回路L 1中也会产生感应电动势ε12。根据同样的道理,可以得出通过L 1所围面积的由i 2所产生的全磁通Ψ12应该与i 2成正比,即

而且
![]()
式(8.27)和式(8.28)中的M 12叫作L 2对L 1的互感系数。(https://www.daowen.com)
可以证明,对给定的一对导体回路,有
M 12=M 21=M
M就叫作这两个导体回路的互感系数,简称它们的互感。
在国际单位制中,互感系数的单位名称也是H。由式(8.26)知,
1 H=1 V·s/A=1Ω·s
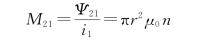
例8.8 一长直螺线管单位长度上的匝数为n,另一半径为r的圆环放在螺线管内,圆环平面与管轴垂直(图8.18)。求螺线管与圆环的互感系数。
解 设螺线管内通有电流i 1,螺线管内磁场为B 1,则B 1=μ0ni 1,通过圆环的全磁通为
Ψ21=B 1πr 2=πr 2μ0ni 1
由定义式(8.25)得互感系数为
![]()

图8.18 例8.8用图
由于M 21=M 12=M,所以螺线管与圆环的互感系数就是M=μ0πr 2n。