习 题

图3.5 莲蓬头曝气装置

图3.6 曝气塔曝气装置
1—焦炭层;2—浮球阀

滤池刚投入使用时,初期出水含铁量较高,一般不能达到饮用水水质标准。随着过滤的进行,在滤料表面覆盖有棕黄色或黄褐色的铁质氧化物,即具有催化作用的铁质活性滤膜时,除铁效果才显示出来,一段时间后即可将水中含铁量降到饮用水标准,这一现象称为滤料的“成熟”。从过滤开始到出水达到处理要求的这段时间,称为滤料的成熟期。无论采用石英砂或锰砂为滤料,都存在滤料“成熟”这样一个过程,只是石英砂的成熟期较锰砂要长,但成熟后的滤料层都会有稳定的除铁效果。滤料的成熟期与滤料本身、原水水质及滤池运行参数等因素有关,一般为4~20d。

3)氧化剂氧化法除铁

在天然地下水的pH条件下,氯和高锰酸钾都能迅速将二价铁氧化为三价铁。当采用常规方法处理地表水铁锰有所超标或者用空气中的氧氧化除铁有困难时,可以在水中投加强氧化剂,如氯、高锰酸钾。

药剂氧化时可以获得比空气氧化法更为彻底的氧化反应。从经济实用角度来说,目前用作地下水除铁的氧化药剂主要是氯。氯是比氧更强的氧化剂,当pH>5时,即可将二价铁迅速氧化为三价铁,反应方程式为:

按此理论反应式计算,每氧化1mg/L的Fe2+,理论上需要2×35.5/(2×55.8)=0.64mg/L的Cl2。由于水中含有其他能与氯反应的还原性物质,实际上所需投氯量要比理论值高一些。

3.1.2 地下水除锰

1)催化氧化除锰

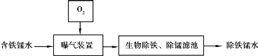
含锰地下水曝气后,进入滤池过滤,高价锰的氢氧化物逐渐附着在滤料表面,形成黑色或暗褐色的锰质活性滤膜(称为锰质熟砂),在锰质活性滤膜的催化作用下,水中溶解氧在滤料表面将二价锰氧化成四价锰,并附着在滤料表面。这种在熟砂接触催化作用下进行的氧化除锰过程称为接触氧化除锰工艺。

地下水的含铁量和含锰量均较低时,除锰时所采用的工艺流程如图3.7所示。

图3.7 催化氧化法除锰工艺

二价锰氧化反应如下:

在接触氧化法除锰工艺中,滤料也同样存在一个成熟期,但成熟期比除铁的要长得多。其成熟期的长短首先与水的含锰量有关:高含锰量的水质,成熟期需60~70d,而低含锰量的水质则需90~120d,甚至更长;其次与滤料有关:石英砂的成熟期最长,无烟煤次之,锰砂最短。

根据二价锰的氧化反应式(3.4)可计算出除锰所需理论氧量,即每氧化1mg/L的二价锰需氧0.29mg/L,实际所需溶解氧量须比理论值高。除锰滤池的滤料可用石英砂或锰砂,滤料粒径、滤层厚度和除铁时相同。滤速为5~8m/h。

当地下水的含铁量和含锰量均较低时,一般可采用单级曝气、过滤工艺,铁、锰可在同一滤池的滤层中去除,上部滤层为除铁层,下部滤层为除锰层。若水中含铁量较高或滤速较高时,除铁层会向滤层下部延伸,压缩下部的除锰层,剩余的滤层不能有效截留水中的锰,因而部分泄漏,滤后水不符合水质标准。为此,当水中含铁量、含锰量较高时,为了防止锰的泄漏,可采用两级曝气、过滤处理工艺,即第一级除铁,第二级除锰。其工艺流程如图3.8所示。

除铁、除锰过程中,随着滤料的成熟,在滤料上不但有高价铁锰混合氧化物形成的催化活性滤膜,而且还可以观测到滤层中有大量的铁细菌群体。由于微生物的生化反应速率远大于溶解氧氧化Mn2+的速度,所以,铁细菌的存在对于长成活性滤膜有促进作用。

图3.8 两级曝气、两级过滤除铁除锰工艺系统

图3.9 除铁除锰双层滤池

2)生物法除锰

在自然曝气除铁除锰滤池中,因生存条件适宜,不可避免会孳生一些微生物,其中就有一些能够氧化二价铁、锰的铁细菌,具有加速水中溶解氧氧化二价铁、锰的作用。在自然氧化除铁过程中,铁细菌的作用不甚明显。而在中性pH条件下自然氧化除锰困难时,生物作用可以发挥较好的除锰效果。该方法又称为生物法除锰。

生物法除锰也是在滤池中进行的,称为生物除铁除锰滤池。曝气后的含铁含锰水进入滤池过滤,铁细菌氧化水中Fe2+、Mn2+并进行繁殖。经数十日,便有良好的除铁除锰效果,即认为生物除锰滤层已经成熟。如果用成熟滤池中的铁泥对新的滤料层微生物接种、培养、驯化,则可以加快滤层成熟速度。一般认为,生物除铁除锰原理是:铁、锰氧化细菌胞内酶促反应以及铁、锰氧化细菌分泌物的催化反应,使Fe2+氧化成Fe3+,Mn2+氧化成Mn4+

生物除铁除锰工艺简单,如图3.10所示。

图3.10 生物除铁除锰工艺

生物除铁除锰需氧量较少,只要简单曝气即可(如铁水曝气),曝气装置简单。滤池中滤料仅起微生物载体作用,可以是石英砂、无烟煤和锰砂等。目前,生物除铁除锰法在我国已有生产应用,在pH=6~9条件下,允许含锰量2~3mg/L,含铁量高达8mg/L。该工艺的原理、适用铁锰比例以及pH范围,尚需不断研究和积累经验。

3)化学氧化除锰

和化学氧化除铁相似,氯、二氧化氯、臭氧、高锰酸钾强氧化剂能把二价锰氧化成四价锰沉淀析出,具有除锰作用,容易发生化学反应的反应式为:

理论上,每氧化1mg/L的Mn2+需要2×35.5/54.9=1.29mg/L的氯。

其中,二氧化氯、臭氧生产工序复杂。用氯氧化水中二价锰需要在pH≥9.5时才有足够快的氧化速度,在工程上不便应用。如果通过滤料表面的MnO2·H2 O膜催化作用,氯在pH=8.5的条件下可将二价锰氧化为四价锰,是工程上能够接受的除锰方法。

高锰酸钾是比氯更强的氧化剂,可以在中性或微酸性条件下将水中的二价锰迅速氧化成四价锰。

理论上,每氧化1mg/L的Mn2+需要2×158.04/(3×54.9)=1.92mg/L的高锰酸钾。

3.2 地下水除氟

氟是自然界中广泛分布的元素之一,在卤素中,它在地壳中的含量仅次于氯。在我国,地下水含氟地区的分布范围很广。氟又是机体生命活动所必需的微量元素之一,但过量的氟则产生毒性作用,长期饮用含氟量高于1.5mg/L的水可引起氟斑牙,表现为牙釉质损坏、牙齿过早脱落等。我国枟饮用水卫生标准枠中规定氟的含量不超过1.0mg/L,超过标准规定的原水需进行除氟处理。

3.2.1 活性氧化铝吸附过滤法

活性氧化铝是一种两性物质,其等电点约为9.5,当水的pH在9.5以上时可吸附水中阳离子,水的pH在9.5以下时可吸附水中阴离子,活性氧化铝吸附阴离子的顺序为OH,对吸附氟离子具有极大的选择性。除氟用的活性氧化铝为白色颗粒状多孔吸附剂,有较大的表面积。

活性氧化铝在使用前须用硫酸铝溶液进行活化,活化反应为:

除氟时的反应为:

当活性氧化铝失去除氟能力后,需停止运行,进行再生。再生时可用浓度为1%~2%的硫酸铝溶液,再生反应为:

活性氧化铝对水中氟吸附能力的大小取决于其吸附容量。吸附容量是指1g活性氧化铝所能吸附氟的质量,一般为1.2~4.5mgF-1/g Al2 O3。它主要与原水的含氟量、pH、活性氧化铝的粒度等因素有关。原水的含氟量高时,由于对活性氧化铝颗粒能形成较高的浓度梯度,有利于氟离子进入颗粒内,从而能获得较高的吸附容量;原水的pH在5~8时,活性氧化铝的吸附量较大,pH=5.5可获得最佳的吸附容量,我国多将pH控制在6.5~7.0;活性氧化铝的粒度小时,吸附容量大,且再生容易,但反冲洗时小颗粒易流失,一般选用粒径为1~3mm。

活性氧化铝吸附过滤法除氟装置可分为固定床和流动床,一般采用固定床,滤层厚度为1.1~1.5m,滤速为3~6m/h。当活性氧化铝滤层失效后(即出水含氟量超过标准时),需停止运行,进行再生。再生时,为去除滤层中的悬浮物,应先用原水对滤层进行反冲洗(膨胀率为30%~50%)。再生剂可用1%~2%硫酸铝或1.0% NaOH溶液,其浓度和用量应通过试验确定。再生后须用除氟水反冲洗,然后进水除氟至出水合格为正式运行开始。再生时间一般为1.0~1.5h。

采用流动床时,滤层厚度为1.8~2.4m,滤速为10~12m/h。

3.2.2 骨炭过滤法

骨炭是由兽骨燃烧去掉有机质的产品,其主要成分是羟基磷酸三钙,故骨炭过滤法又称为磷酸三钙过滤法。关于羟基磷酸三钙的分子式,国外认为是Ca3(PO42·CaCO3,国内认为是Ca10(PO46(OH)2

除氟交换反应如下:

当水中含氟量高时,反应向右进行,氟被吸附交换去除。

骨炭滤层失效后,需停止运行,进行再生。常用的再生液是浓度为1%的NaOH溶液。再生后还需用浓度为0.5%的硫酸溶液中和。

3.3 水的软化与除盐

硬度是水质的一个重要指标,通常以水中Ca2+、Mg2+的总含量称为水的总硬度(Ht)。硬度又可分为碳酸盐硬度(Hc)和非碳酸盐硬度(Hn),前者称为暂时硬度,后者称为永久硬度。

水的硬度过高,对生活和生产都有危害,特别是锅炉用水。为了消除或减小水中硬度引起的危害,需对含有Ca2+、Mg2+的原水进行处理。降低水中Ca2+、Mg2+含量的处理过程称为水的软化。水的软化程度应根据用户对水质的要求决定,对于低压锅炉,一般要进行水的软化处理;对于中、高压锅炉,则要求进行水的软化与脱盐处理。

目前水的软化处理主要有以下两种方法:

①水的药剂软化法。基于溶度积原理,向原水中加入一定量的某些化学药剂(如石灰、苏打等),使之与水中的Ca2+、Mg2+反应生成难溶化合物CaCO3和Mg(OH)2沉淀析出,以达到去除水中大部分Ca2+、Mg2+的目的。工艺所需设备与常规净化工艺过程基本相同,也要经过混凝、沉淀、过滤等工序。

②水的离子交换软化法。基于离子交换原理,利用某些离子交换剂所具有的可交换阳离子(Na或H)与水中Ca2+、Mg2+进行离子交换反应,去除水中的Ca2+、Mg2+,以达到水的软化目的。

3.3.1 水的药剂软化

常用的化学药剂有石灰(CaO)、苏打(Na2 CO3)等。

1)石灰软化法

石灰软化法反应如下:

熟石灰Ca(OH)2与水中非碳酸盐的镁硬度起反应生成Mg(OH)2,但同时又产生了等当量的非碳酸盐的钙硬度,其反应如下:

所以,石灰软化法不能降低水的非碳酸盐硬度。但通过石灰处理,在软化的同时还可去除水中部分铁和硅的化合物。

在水的药剂软化中,由于石灰价格低、来源广,所以是最常用的软化药剂。主要适用于原水的非碳酸盐硬度较低、碳酸盐硬度较高且不要求深度软化的场合。石灰也可以与离子交换法联合使用,作为深度软化的预处理。石灰实际投加量应在生产实践中加以调试。

2)石灰唱苏打软化法

石灰软化法只能降低水的碳酸盐硬度,而不能降低水的非碳酸盐硬度。石灰唱苏打软化法就是向水中同时投加石灰和苏打,以苏打来降低水的非碳酸盐硬度。反应如下:

3.3.2 水的离子交换软化法

1)离子交换的基本原理

(1)离子交换树脂

离子交换树脂是水处理中最常用的离子交换剂,它是由交联结构的高分子骨架(称为母体)与附属在骨架上的许多活性基团所构成的不溶性高分子电解质。活性基团遇水后电离成两部分:固定离子,仍与骨架牢固结合,不能自由移动;交换离子,能在一定范围内自由移动,并与其周围溶液中的其他同性离子进行交换反应。以强酸性阳离子交换树脂为例,可写成R唱SO3 H,其中R代表树脂母体即网状结构部分,为活性基团的固定离子,H为活性基团的交换离子。有时可简化写成RH,R表示树脂母体和牢固结合在其上面的固定离子。

离子交换树脂包括阳离子交换树脂和阴离子交换树脂。阳离子交换树脂带有酸性活性基团,按其酸性强弱,可分为强酸性和弱酸性两种;阴离子交换树脂带有碱性活性基团,按其碱性强弱,可分为强碱性和弱碱性两种,其交换离子是OH,故可简化写成ROH。前者常用于水的软化或脱碱软化,二者配合可用于水的除盐。

(2)离子交换树脂的基本性能

①密度。离子交换树脂的密度有湿真密度和湿视密度两种表示方法。

湿真密度是指树脂溶胀后的质量与其本身所占体积(不包括树脂颗粒之间的空隙)之比,即

树脂的湿真密度对树脂层的反冲洗强度、膨胀率以及混合床再生前树脂的分层影响很大。强酸树脂的湿真密度约为1.3g/mL,强碱树脂约为1.1g/mL。

湿视密度是指树脂溶胀后的质量与其堆积体积(包括树脂颗粒之间的空隙)之比,即

树脂的湿视密度常用来计算交换器所需装填湿树脂的数量,一般为0.6~0.85g/mL。

②有效pH范围。强酸、强碱树脂的活性基团电离能力强,其交换容量基本与水的pH无关。而弱酸、弱碱树脂由于活性基团的电离能力弱,其交换容量与水的pH有关。弱酸树脂在水的pH低时不电离或仅部分电离,因而只能在碱性溶液中才会有较高的交换能力,其有效pH范围一般为5~14;弱碱树脂则相反,只能在酸性溶液中才会有较高的交换能力,有效pH范围一般为1~7。

③交换容量。树脂交换容量是定量表示树脂交换能力大小的一项重要指标,单位为mmol/L(湿树脂)或mmol/g(干树脂)。交换容量又可分为全交换容量与工作交换容量。全交换容量是指一定量树脂中所含有的全部可交换离子的数量,树脂全交换容量可由滴定法测定;工作交换容量是指一定量的树脂在给定工作条件下实际的交换容量,树脂工作交换容量与再生方式、原水含盐量及其组成、树脂层厚度、水流速度、再生剂用量等运行条件有关。一般情况下,采用逆流再生方式可获得较高的工作交换容量。在实际中,树脂工作交换容量可由模拟试验确定,亦可参考有关数据选用。

④选择性。树脂对水中不同离子进行交换反应时,由于树脂和各种离子之间亲合力的大小不同,交换树脂存在着对各种离子交换的选择顺序。它与树脂类型、水中离子的种类、浓度及温度等因素有关。在常温、低浓度水溶液中,各种离子交换树脂对水中常见离子的选择顺序为:

应着重指出,在高浓度溶液中,浓度的高低则成为决定离子交换反应方向的关键因素。

离子交换的实质就是树脂的可交换离子与溶液中其他同性离子进行的交换反应。例如水的离子交换软化法就是利用阳离子交换树脂交换去除水中的Ca2+、Mg2+,其交换反应如下:

离子交换反应为可逆反应,当树脂失效以后,利用高浓度再生液(Na或H)使交换反应逆向进行,Na和H把树脂上吸附的Ca2+、Mg2+置换出来,从而使树脂重新恢复交换能力,这个过程称为树脂再生。

图3.11 树脂饱和度示意

(3)离子交换过程

以离子交换柱中装填Na型树脂,从上而下通过含有一定浓度钙离子的硬水为例。

图3.11所示为树脂饱和度示意中白点表示钠型树脂、黑点表示钙型树脂),树脂饱和度是指单位体积树脂所吸附的Ca2+、Mg2+的含量与其全交换容量之比。若把整个树脂层各点的饱和程度连成曲线,可绘得某一时刻的饱和度曲线,如图3.11(b)所示。

就整个离子交换过程而言,可分成两个阶段。一是交换带形成阶段,发生在交换开始的一段不长时间内,在此阶段内,树脂的饱和度曲线不断发生变化,直至形成一定形状的曲线,二是交换带推移阶段,即交换带以一定速度沿着水流方向向下推移的过程。交换带为交换柱中正在进行离子交换反应的区域,称之为树脂交换工作层。交换带推移阶段实际上就是树脂交换工作层沿水流方向不断向下移动的过程,当交换带(即树脂交换工作层)下端推移到达整个树脂层底部时,Ca2+、Mg2+开始泄漏,应立即停止交换,进行再生。此时整个树脂层可分成饱和层和保护层两部分,前者树脂交换容量得到充分利用,后者树脂交换容量只是部分被利用。可见,交换带厚度相当于此时的保护层厚度,如图3.12所示。

图3.12 树脂层离子交换过程

树脂交换带厚度的大小取决于水流通过树脂层的速度,Ca2+、Mg2+浓度及树脂再生程度等因素。

2)离子交换软化方法

(1)Na离子交换软化法

它是最常用的一种软化法,交换反应如下:

对于碳酸盐硬度:

对于非碳酸盐硬度:树脂RNa经交换后变成R2 CaR2、Mg,树脂的再生剂为食盐。

该法的特点是在软化过程中不产生酸性水,设备和管道防腐设施简单,但只能去除硬度,不能脱碱。适用于原水碱度较低只须进行软化的场合,可用作低压锅炉的给水处理系统。

(2)H离子交换软化法

其交换反应如下:

对于碳酸盐硬度:

对于非碳酸盐硬度:

树脂RH经交换后变成R2 Ca、R2 Mg、RNa,树脂的再生剂为硫酸或盐酸。

该法的特点是在软化过程中硬度及碱度均被去除,但出水呈酸性水,故该软化法不能单独使用,通常和钠离子交换软化法联合使用。

(3)H唱Na联合离子交换脱碱软化法

同时应用H和Na离子交换进行脱碱软化的方法,可分为H唱Na并联离子交换系统和H唱Na串联离子交换系统两种。

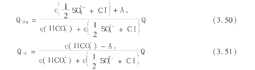
图3.13所示为H唱Na并联离子交换系统。原水分配成两部分,一部分进入Na离子交换器(出水呈碱性),其余部分进入H离子交换器(出水呈酸性),然后两者出水流入混合器进行中和反应,最后出水进入除二氧化碳器脱除CO2气体后流出。中和反应如下:考虑混合后的软化水应含有少量剩余碱度,原水流量分配可按下式计算:

式中:Q——处理水总流量,m3/h;

 QH——进入氢离子交换器的流量,m3/h;

 QNa——进入钠离子交换器的流量,m3/h;——原水中硫酸根和氯根离子的含量,mmol/L;

 c(HCO3)——原水的碱度,mmol/L;

 Ar——混合后软化水的剩余碱度,约为0.5mmol/L。

图3.13 H唱Na并联离子交换系统
1—Na离子交换器;2—H离子交换器;
3—除CO2器;4—水箱;5—混合器

图3.14 H唱Na串联离子交换系统
1—H离子交换器;2—Na离子交换器;3—除CO2器;
4—中间水箱;5—混合器;6—水泵

图3.14所示为H唱Na串联离子交换系统。原水一部分(QH)流入H离子交换器,出水与另一部分原水混合,然后进入除二氧化碳器脱气流入中间水箱,最后由泵打入钠离子交换器进一步软化。原水流量分配计算方法与H唱Na并联离子交换系统完全一样。

综上所述,H唱Na并联和H唱Na串联系统均能达到脱碱软化的目的,但H唱Na并联系统只是一部分流量经过Na离子交换器,H唱Na串联系统则是全部流量经过Na离子交换器。因此,从运行来看,串联系统较安全可靠,更适合于处理高硬度水,能满足低压锅炉对水质的要求。

(4)弱酸性H离子交换软化法

弱酸性H离子交换树脂的活性基团是羧酸(唱COOH),可表示为RCOOH,实际参与离子交换反应的可交换离子为H。交换反应如下:

由于弱酸性树脂交换基团的特性,它只能去除碳酸盐硬度,而不能去除非碳酸盐硬度,该法适用于原水中碳酸盐硬度很高而非碳酸盐硬度较低的场合。其优点是交换设备体积小,再生非常容易且酸耗低,运行费用低。若需深度脱碱软化时,可与Na型强酸树脂联合使用组成H唱Na串联系统或在同一交换器中填装H型弱酸和Na型强酸树脂,构成H唱Na离子交换双层床。

3)离子交换软化设备

常用的离子交换软化设备为离子交换器,装有Na型树脂的称为Na离子交换器,装有H型树脂的称为H离子交换器。离子交换器为能承受400~600kPa压力的钢罐,内部结构分为上部配水管系、树脂层、下部配水管系三个部分。在交换器内装有厚度一般为1.5~2.0m树脂层。为保证树脂层反冲洗时有足够的膨胀空间,树脂层表面到上部配水管系之间的高度为树脂层厚度的40%~80%。

根据运行方式的不同,离子交换软化设备可分为固定床和连续床两大类型。固定床是最基本的一种类型,其特点是交换与再生两个过程均在同一交换器中进行,树脂不向外输送。连续床是在固定床的基础上发展起来的,包括移动床和流动床两种类型。固定床根据原水与再生液的流动方向,又可分为顺流再生固定床和逆流再生固定床两种,前者原水与再生液分别从上而下以同一方向流经树脂层,后者原水与再生液流动方向相反。

(1)顺流再生固定床

顺流再生固定床的运行操作包括交换、反洗、再生、清洗4个步骤,其中反洗、再生、清洗3个步骤属于再生工序。

①交换:交换过程就是软化过程。原水由上部配水系统进入交换器,通过树脂层交换后,软化水经下部配水系统流出。当出水硬度刚刚出现泄漏时,交换立即结束,进入再生工序。

②反洗:反洗水(一般用原水)由下部配水系统自下而上通过树脂层进行反洗,目的是使树脂层产生膨胀以清除树脂层内的杂质。

③再生:再生是交换器运行操作中的重要环节。为保持再生液的浓度,再生前应先排水,然后进再生液。再生液浓度:食盐一般为5%~10%,盐酸为4%~6%,硫酸不应大于2%。

④清洗:清除树脂层中残存的再生残液,再生完毕后,应使用软化水对树脂层进行正向清洗。清洗完毕,即转入交换过程。

顺流再生固定床的优点是构造简单、运行操作简便。缺点主要表现在:树脂层上、下部再生程度高相差悬殊,即使再生剂耗量是理论值的2~3倍,再生效果仍然差;出水剩余硬度较高,特别是工作后期,由于再生时树脂层下半部再生程度低,出水提前超标,导致交换器工作周期大大缩短。顺流再生固定床只适用于处理规模较小、原水硬度较低的场合。

(2)逆流再生固定床

逆流再生固定床与顺流再生固定床的区别是再生时再生液流动方向与交换时水流流向相反。其操作方式有两种:一种是水流向下流、再生液向上流,应用比较成功的有气顶压法、水顶压法等;另一种是水流向上流、再生液向下流,应用比较成功的有浮动床法。生产中,常见的是气顶压法逆流再生固定床。

图3.15为气顶压逆流再生固定床的再生操作过程示意图,与顺流再生设备的不同之处是在树脂层表面处安装有中间排水装置。另外,在中间排水装置上面,装填一层厚约15cm的树脂或比重轻于树脂而略重于水的惰性树脂(称为压脂层),它一方面使压缩空气比较均匀而缓慢地从中间排水装置逸出,另一方面在交换时起一定预过滤作用。进再生液之前,在交换器顶部进入压强30~50kPa的压缩空气压住树脂层,称为气顶压,其作用:一方面是在正常再生流速(5m/h左右)情况下,保证树脂层次不乱;另一方面是借助上部压缩空气的压力,在排出向上流的再生液与清洗水时,防止树脂乱层。

图3.15 逆流再生操作过程示意图

逆流再生固定床的再生操作步骤如下:

①小反洗:反洗水从中间排水装置进入,松动压脂层并清除其中悬浮固体,反洗流速为5~10m/h,历时10~15min。

②放水:放掉中间排水装置上部的水。

③顶压:从交换器顶部进入压缩空气,使气压维持在30~50kPa范围内。

④进再生液:在有顶压的情况下,从交换器底部进再生液,上升流速约为5m/h。

⑤逆流清洗:在有顶压的情况下,以流速为5~7m/h的软化水进行逆流清洗,直到排出水符合要求。

⑥正洗:以流速为10~15m/h的水流自上而下清洗,直到出水水质合格,即可投入交换运行。

逆流再生固定床运行若干周期后要进行一次大反洗,以去除树脂层中的杂质和碎粒。大反洗后的第一次再生时,应适当增加再生剂用量。

与顺流再生比较,逆流再生具有如下优点:再生废液中再生剂有效浓度明显降低(一般不超过1%),再生液得到充分利用,再生剂耗量可降低20%以上;出水质量显著提高;原水水质适用范围扩大,对于硬度较高的水,仍能保证出水水质;再生程度较高,树脂工作交换容量有所提高。

水顶压法与气顶压法基本相同,仅是用带有一定压力的水替代压缩空气以保持树脂层不乱。水压一般为50kPa,水量为再生液用量的1~1.5倍。

无顶压逆流再生工艺是我国近年发展起来的一种很有发展前途的再生方法。其原理是:增加中间排水装置的开孔面积(使小孔流速低于0.1~0.2m/h),在压脂层厚20cm、再生流速小于7m/h的情况下,不需任何顶压手段,即可保持树脂层固定密实,而再生效果完全相同。无顶压法逆流再生工艺的应用简化了逆流再生操作,标志着逆流再生技术在实际应用方面又进展了一步。

(3)固定床软化设备的设计计算

离子交换器的计算公式为:

式中:F——离子交换器截面积,m2

 h——树脂层高度,m;

 q——树脂工作交换容量,mmol/L;

 Q——软化水流量,m3/h;

 T——软化工作时间,h;

 Ht——进水硬度,mmol/L。

式3.54左边表示离子交换器在给定工作条件下所具有的实际交换能力,右边表示在软化工作时间树脂去除水中硬度的总量。树脂的交换工作容量应由试验确定,或参照有关资料提供的数据确定。

离子交换器有系列定型产品,它的主要尺寸和树脂装填高度已定,只需按式(3.54)计算所需离子交换器的台数或软化工作时间。离子交换器的台数在实际生产中应不少于两台。

浮动床装置的特点是由底部进入的高速水流将整个树脂层托起,软化水由上部引出。再生操作时,再生液自上而下流经树脂层,同样具有逆流再生的特性。浮动床内由于树脂填充较满,难以在交换器内进行清洗,因此,必须定期将树脂移出交换器外擦洗。对于直径较小的设备,亦可采用体内抽气擦洗方式。在成床和落床过程中,保持层床不乱是浮动床能否具有逆流再生效果的重要因素。此外,在处理水量不稳定或需经常间歇运行的场合,不宜采用浮动床。

3.3.3 水的除盐

1)复床除盐

所谓复床是指阳、阴离子交换器串联使用。复床除盐最常用的系统有:

(1)强酸唱脱气唱强碱系统

如图3.16所示,该系统是由强酸阳床、除二氧化碳器和强碱阴床组成。原水先通过强酸阳床除去水中的阳离子,出水呈酸性,再通过除二氧化碳器脱去CO2,最后进入强碱阴床除去水中的阴离子。

该系统是一级复床除盐中最基本的系统,多适用于制取脱盐水。在运行过程中,有时由于阳床泄漏Na过量,造成出水的pH和电导率都偏高。再生时,可采用逆流再生以提高出水水质。另外,为有利于除硅,强碱阴床应采用热碱液再生。

(2)强酸唱弱碱唱脱气系统

如图3.17所示,该系统是由强酸阳床、弱碱阴床、除二氧化碳器组成。弱碱树脂用Na2 CO3或NaHCO3再生时,由于经弱碱阴床后,水中会增加大量的碳酸,因此脱气应在最后进行。若用NaOH再生,除二氧化碳器设置在弱碱阴床之前或之后均可。该系统正常运行时,出水的pH为6~6.5,电阻率在0.5×105Ω·cm左右。该脱盐系统由于弱碱树脂的应用,不仅交换容量有所提高,而且再生比耗显著降低,多适用于无除硅要求的场合。

图3.16 强酸唱脱气唱强碱系统
1—强酸阳床;2—强碱阴床;3—除CO2器;
4—中间水箱;5—水泵

图3.17 强酸唱弱碱唱脱气系统
1—强酸阳床;2—强碱阴床;
3—除CO2器;4—中间水箱;

(3)强酸唱脱气唱弱碱唱强碱系统

图3.18 强酸唱脱气唱强碱唱强碱系统
1—强酸阳床;2—弱碱阴床;3—强碱阴床;4—除CO2器;5—中间水箱;6—水泵

如图3.18所示,该系统是由强酸阳床、除二氧化碳器、弱碱阴床、强碱阴床组成。适用于原水有机物含量较高、强酸阴离子含量较大的情况。阴离子交换树脂的再生剂以NaOH为主,再生时,采用串联再生方式,全部再生液先用来再生强碱树脂,然后再生弱碱树脂。再生剂得到充分利用,再生比耗降低。该系统出水水质与强酸唱脱气唱强碱系统大致相同,但运行费用略低。

2)混合床除盐

按一定比例将阴、阳树脂均匀混合在一起的离子交换器称为混合床。混合床中阴树脂的体积一般是阳树脂的2倍,再生时阴、阳树脂分层再生,使用时先将其均匀混合。当原水通过此交换器时,由于混合床中阴、阳树脂交替紧密接触,好象由无数微型的复床除盐系统串联而成的,反复进行多次脱盐,因而具有出水纯度高、出水水质稳定、间断运行对出水水质影响小、交换终点分明易于实现自动控制等优点。

混合床再生方式分体内再生与体外再生两种。体内再生又区分为酸、碱分步再生和同步再生。以体内酸、碱分步再生为例,其再生操作步骤为:

①反洗分层:反洗流速为为10m/h左右。

②进碱阴树脂再生:再生液NaOH浓度为4%,流速为5m/h。

③第一次正洗:脱盐水以12~15m/h的流速通过阴树脂层。

④进酸阳树脂再生:浓度5%盐酸或1.5%硫酸。

⑤第二次正洗:用脱盐水以12~15m/h的流速通过阳树脂层。

⑥阳、阴树脂混合:先放水至树脂层上10~20cm处,然后进压缩空气2~3min,使阳、阴树脂搅拌均匀混合后,立即快速排水。

⑦最后正洗:流速15~20m/h,正洗到出水电阻率大于5.0×105Ω·cm,即可投入运行。

混合床再生时由于阴、阳树脂分层不彻底,易形成所谓的交叉污染。另外,考虑到混合床对有机物污染很敏感,因此在水进入混合床之前,应进行必要的预处理,以防有机物污染树脂。

3.3.4 膜分离技术

利用膜将水中的物质(微粒或分子或离子)分离出去的方法称为水的膜析处理法(或称膜分离法、膜处理法)。在膜处理中,以水中的物质透过膜来达到处理目的时称为渗析,以水透过膜来达到处理目的时称为渗透。膜处理法有渗析、电渗析、反渗透、扩散渗析、纳滤、超滤、微孔过滤等。由于膜分离法具有在分离过程中不发生相变化,能量的转化效率高;一般不需要投加其他物质,可节省原材料和化学药品;在常温下可进行;适应性强,操作及维护方便,易于实现自动化控制等优点,因此在工业用水处理中被广泛应用,尤其是纯水生产方面。同时膜分离法还具有分离和浓缩同时进行,可回收有价值的物质;根据膜的选择透过性和膜孔径的大小,可将不同粒径的物质分开而使物质得到纯化而又不改变其原有属性的优点,因此在工业废水处理中也被广泛应用。近年来膜制造技术发展较快,已开始在生活供水领域应用,表3.1所示为水处理中常用的膜分离法的技术持征。

1)电渗析

(1)离子交换膜

离子交换膜实质上是膜状的离子交换树脂,与离子交换树脂的化学组成和化学结构一致,其区别在于离子交换膜外形薄膜片状,其作用机理选择透过性,因此又称选择透过性膜;离子交换树脂外形是圆形粒状,其作用机理选择吸附性。

表3.1 主要膜分离法的技术特征

离子交换膜按其选择透过性能主要分为阳膜与阴膜;按其膜体结构可区分为异相膜、均相膜、半均相膜三种。异相膜的优点是机械强度好、价格低;缺点是膜电阻大、耐热差、透水件大。均相膜则相反。国产部分离子交换膜主要性能见表3.2。

表3.2 国产部分离子交换膜主要性能

(2)原理

电渗析是在外加直流电场作用下,利用离子交换膜的选择透过性(即阳膜只允许阳离子透过,阴膜只允许阴离子透过),使水中阴、阳离子作定向迁移,从而达到离子从水中分离的一种物理化学过程。

电渗析原理如图3.19所示。在阴极与阳极之间放置着若干交替排列的阳膜与阴膜,让水通过两膜及两膜与两极之间所形成的隔室,在两端电极接通直流电源后,水中阴、阳离子分别向阳极、阴极方向迁移,由于阳膜、阴膜的选择透过性,就形成了交替排列的离子浓度减少的淡室和离子浓度增加的浓室。与此同时,在两电极上也发生着氧化还原反应,即电极反应,其结果是使阴极室因溶液呈碱性而结垢,阳极室因溶液呈酸性而腐蚀。因此,在电渗析过程中,电能的消耗主要用来克服电流通过溶液、膜时所受到的阻力以及电极反应。

图3.19 电渗析原理示意图

(3)电渗析器

电渗析器的构造包括压板、电极托板、电极、极框、阴膜、阳膜、浓水隔板、淡水隔板等部件。将这些部件按一定顺序组装并压紧,组成一定形式的电渗析器。其中隔板是用于隔开阴、阳膜的,并与阴、阳膜一起形成浓、淡室的水流通道,其材料有聚氯乙烯、聚丙烯、合成橡胶等。常用有鱼鳞网、编织网、冲膜式网等。隔板按水流形式可分有回路式和无回路式两种。有回路式隔板流程长、流速高、电流效率高、一次处理效果好,适用于流量较小且处理要求较高的场合。无回路隔板流程短、流速低,要求隔板搅动作用强,水流分布均匀,适用于流量较大而处理要求不高的场合。常用电极材料有石墨、钛涂钌、铅、不锈钢等。另外,电渗析器的配套设备还包括控制箱、水泵、转子流量计等。

(4)电渗析器组装

一对阴、阳膜和一对浓、淡水隔板交替排列,组成最基本的脱盐单元,称为膜对。电极(包括中间电极)之间由若干组膜对叠一起即为膜堆。一对电极之间的膜堆称为一级,具有同向水流的并联膜堆称为一段。电渗析器的组装方式有一级一段、多级一段、一级多段和多级多段等,如图3.20所示。

(5)极化现象

电渗析工作中电流的传导是靠水中的阴、阳离子的迁移来完成的,当电流增大到一定数值时,如若再提高电流,由于离子扩散不及,在膜界面处将引起水的离解,使氢离子透过阳膜、氢氧根离子透过阴膜,这种现象称为极化。此时的电流密度称为极限电流密度。极化发生后阳膜淡室的一侧富集着过量的氢氧根离子,阳膜浓室的一侧富集着过量的氢离子;而在阴膜淡室的一侧富集着过量的氢离子,阴膜浓室的一侧富集着过量的氢氧根离子。由于浓室中离子浓度高,则在浓室阴膜的一侧发生碳酸钙、氢氧化镁沉淀(图3.21),从而增加膜电阻,加大电能消耗,减小膜的有效面积,降低出水水质,影响正常运行。

图3.20 电渗析器的组装方式

图3.21 极化现象示意图

(6)电渗析器工艺设计

目前,电渗析器有系列产品规格,可根据淡水产量与处理要求确定合理设计参数,选用所需电渗析器的台数以及并联或串联的组装方式。

①脱盐率。脱盐率主要取决于隔板厚度、流程长度、流速以及实际操作电流密度。对于常用的无回路网式聚丙烯隔板(流速6cm/s,进水含盐2000mg/LNaCl,温度25℃),其单段脱盐率可按表3.3进行初步计算。

表3.3 电渗析器系列产品规格

续表

②操作压力。根据当前制造水平,无回路网式电渗析器的操作压力一般选用0.2MPa为宜,超过0.3MPa难以保证安全运行。

③流速。对于无回路网式隔板,流速取4~10cm。

④每段膜对数。每段膜对数应不超过200对,每台电渗析器的膜总对数在400对以下较为合适。

在隔板主要规格为400mm×1600mm×0.9mm,膜对数为200对的情况下,单段电渗析器有关设计参数见表3.4,该数值可供初步计算时参考。

表3.4 单段电渗析器设计参数参考值

由表可知,在隔板主要规格给定的情况下,单段脱盐率与操作压力主要取决于流速,而产水量则与流速以及每段膜对数成正比关系。另外,实际脱盐率相当于表中极限电流工况下脱盐率的90%左右。

2)反渗透

(1)反渗透原理

用一种只能让水分子透过而不允许溶质透过的半透膜将纯水与咸水分开,则水分子将从纯水一侧通过膜向咸水一侧透过,结果使咸水一侧的液面上升,直到到达某一高度,此即所谓渗透过程,如图3.22(a)所示。当渗透达到动平衡状态时,半透膜两侧存在一定的水 位差或压力差,如图3.22(b)所示,此即为指定温度下的溶液(咸水)渗透压。如图3.22(c)所示,在咸水一侧施加的压力大于该溶液的渗透压,可迫使渗透反向,即水分子从咸水一侧反向地通过膜透过到纯水一侧,实现反渗透过程。

图3.22 渗透和反渗透现象

图3.23 CA膜结构示意图

(2)反渗透膜

目前用于水处理的反渗透膜主要有醋酸纤维素(CA)膜和芳香族聚酰胺膜两大类。一般是表面与内部具有不对称的结构,如图3.23所示为CA膜的结构示意图,其表皮层结构致密,孔径为0.8~1.0nm,厚约0.25μm,起脱盐的关键作用。表皮层下面为结构疏松、孔径为100~400nm的多孔支撑层。在其间还夹有一层孔径约20μm的过渡层。膜总厚度为100μm,含水率占60%左右。

(3)反渗透装置

目前反渗透装置有板框式、管式、卷式和中空纤维式4种类型。

板框式装置由一定数量的多孔隔板组合而成,每块隔板两面装有反渗透膜,在压力作用下,透过膜的淡化水在隔板内汇集并引出。管式装置分为内压管式和外压管式两种。前者将膜镶在管的内壁,如图3.24(a)所示,含盐水在压力作用下的管内流动,透过膜的淡化水通过管壁上的小孔流出;后者将膜铸在管的外壁,透过膜的淡化水通过管壁上的小孔由管内流出。卷式装置如图3.24(b)所示,把导流隔网、膜和多孔支撑材料依次迭合,用粘合剂沿三边把两层膜黏结密封,另一开放边与中间淡水集水管连接,再卷绕一起;含盐水由一端流入导流隔网,从另一端流出,透过膜的淡化水沿多孔支撑材料流动,由中间集水管引 出。中空纤维装置如图3.24(c)所示,把一束外径50~100μm、壁厚12~25μm的中空纤维装于耐压管内,纤维开口端固定在环氧树脂管板中,并露出管板。通过纤维管壁的淡化沿空心通道从开口端引出。各种型式反渗透器的主要性能见表3.5,优缺点见表3.6。

图3.24 各种形式反渗透装置

表3.5 各种型式反渗透装置的主要性能

表3.6 各种型式反渗透装置的优缺点

(4)反渗透法处理工艺

反渗透法处理工艺根据原水水质和处理要求的不同,主要有单程式、循环式和多段式三种工艺(图3.25)。单程式工艺只是原水一次经过反渗透器装置处理,水的回收率(淡化水流量与进水流量的比值)较低;循环式工艺是以部分浓水回流来提高水的回收率,但淡水水质有所降低;多段式工艺是以浓水多次处理来提高水的回收率,用于产水量大的场合。

3)纳滤

纳滤(NF)是介于反渗透(RO)和超滤(UF)之间的一种新型分子级的膜分离技术,适宜于分离相对分子质量在200g/mol以上、分子大小为1nm的溶解组分的膜工艺,故被命名为“纳滤”。纳滤操作压力通常为0.5~1.0MPa,一般为0.7MPa左右,最低为0.3MPa。由于这种特性,有时将纳滤称为“低压反渗透”或“疏松反渗透”。根据操作压力和分离界限定性地将纳滤置于RO和UF之间,它们之间的关系如图3.26所示。压力驱动膜孔径分布与操作压力如图3.27所示。

图3.25 反渗透处理工艺

图3.26 NF与RO及UF的关系

图3.27 压力驱动膜工艺分类

纳滤膜的一个特点是具有离子选择性:具有一价阴离子可以大量地渗过膜(但并非无阻挡的),然而膜对具有多价阴离子的盐(例如硫酸盐、碳酸盐)的截留率则高得多。因此盐的渗透性主要由阴离子的价态决定。

对阴离子来说,截留率按以下顺序上升:

对阳离子来说,截留率按以下顺序上升:H、Na、K、Ca2+、Mg2+、Cu2+

纳滤过程之所以具有离子选择性,是由于在膜上或者膜中有负的带电基团,它们通过静电作用,阻碍多价阴离子的渗透。荷电性的不同,如有的荷正电有的荷负电,及荷点密度的不同等,都会产生明显的影响。

纳滤膜的传质机理与RO膜相似,属于溶解唱扩散模型,但是由于大部分NF膜为荷电型,其对无机盐的分离行为不仅受化学势控制,同时也受电势梯度的影响,其传质机理还在研究,至今尚难定论。

由于无机盐能透过纳滤膜,使其渗透压比RO低,因此,在通量一定时,NF过程所需的外界压力比RO低得多,此外,NF能使浓缩和脱盐同步进行。所与NF代替RO时,浓缩过程可有效、快速地进行,并达到较大的浓缩倍数。

4)超滤

超滤又称超过滤,用于截留水中胶体大小的颗粒,而水和低分子量溶质则允许透过膜。其机理是筛孔分离,因此可根据去除对象选择超滤膜的孔径。

超滤与反渗透的工作方式相同,装置相似。由于孔径较大、无脱盐性能,仅操作压力低、设备简单,因此在纯水终处理中用于部分去除水中的细菌、病毒、胶体、大分子等微粒相,尤其是对产生浊度物质的去除非常有效,其出水浊度甚至可达0.1NTU以下。工业废水处理中用于去除或回收高分子物质和胶体大小的微粒。在中水处理中亦可部分去除细菌、病毒、有机物和悬浮物等。

在超滤过程中,水在膜的两侧流动,则在膜附近的两侧分别形成水流边界层,在高压侧由于水和小分子的透过,大分子被截留并不断累积在膜表面边界层内,使其浓度高于主体水流中的浓度,从而形成浓度差,当浓度差增加到一定程度时,大分子物质在膜表面生成凝胶,影响水的透过通量,这种现象称浓差极化。此时,增大压力,透水通量并不增大,因此,在超滤操作中应合理地控制操作压力、浓液流速、水温、操作时间(及时进行清洗),对原水进行预处理。各种处理方法的适用范围如图3.28所示。

图3.28 各种分离方法的适用范围

5)微孔过滤

前面介绍的膜处理法均是水在膜的两侧流动中得到净化,一侧是浓水,一侧是处理水,而微孔过滤是将全部进水挤压滤过,小于膜孔的粒子通过膜,大于膜孔的粒子被截流在膜表面,其作用相当于“过滤”,因此又称膜过滤或精密过滤。微孔过滤在水处理中用于去除水中细小悬浮物、微生物、微粒、细菌、胶体等杂质。其优点是设备简单、操作方使、效率高、工作压力低等;缺点是由于截留杂质不能及时被冲走,因而膜孔容易堵塞,需更换。

3.4 循环冷却水处理

工业生产过程中,往往会产生大量热量,通常使用水来冷却设备或产品。冷却用水水量很大,如一座年产3500t聚丙烯的化工设备,冷却用水量就达300t/h左右。为了重复利用吸热后的水以节约水资源,同时从经济及环境保护方面考虑,冷却水都应实现循环利用。

循环利用的冷却水称为循环水。循环水在长期使用过程中,由于盐类浓缩或散失、尘土积累、微生物滋长等原因,造成设备内垢物沉积或者对金属设备产生腐蚀作用。为了保证循环冷却水系统的可靠运行,要使已经升高了的水温降低(即循环水的冷却),以保持较好的冷却效果;进行水质处理以控制结垢、污垢、腐蚀和淤塞(即循环水的处理)。

3.4.1 循环水冷却构筑物

1)冷却构筑物的类型

冷却构筑物大体分为水面冷却池、喷水冷却池和冷却塔三类。水面冷却池利用天然池塘或水库,冷却过程在水面上进行,效率低。喷水冷却池是在天然或人工池塘上加装喷水设备,以增大水和空气间的接触面。冷却塔是人工建造的,水通过塔内的淋水装置时,可形成小水滴或水膜,以增大水和空气的接触面积,提高冷却效果。

图3.29 敞开式循环冷却系统流程图
1—换热器;2—冷却塔;3—集水池;4—循环水泵;
5—补充水;6—排污水;7—投加处理药剂

冷却塔形式较多,构造也较复杂。按循环水供水系统中的循环水与空气是否直接接触,冷却塔又分为敞开式(湿式)、密闭式(干式)和混合式(干湿式)三种。湿式冷却塔是指热水和空气直接接触、传热和传质同时进行的敞开式循环供水系统。如图3.29所示为敞开式循环冷却系统流程图。

干式冷却塔是指水和空气不直接接触,冷却介质为空气,空气冷却是在空气器中实现的,所以只单纯传热,如图3.30(a)所示;干湿式冷却塔是指热水和空气进行干式冷却后再进行湿式冷却的构筑物,如图3.30(b)所示。湿式冷却塔是最常用的冷却塔。

图3.30 干式和干湿式冷却塔

2)冷却构筑物的选择

选择冷却构筑物时,应考虑工厂对冷却水温的要求,当地气象条件、地形特点、补充水的水质及价格、建筑材料等因素,结合各种构筑物的优缺点及适用条件,进行技术经济比较选择。

3.4.2 循环冷却水水质特点与处理要求

循环冷却水在使用过程中,由于水质变化会产生不利的影响,包括结垢、污垢和腐蚀。

结垢,指水中碳酸盐等溶解盐类在热交换器及管道的表面形成沉积物。

污垢,指由补充水带来的或在循环使用过程中产生的各种微生物、其他有机物及无机杂质,在热交换器及管道沉积而形成污垢。在污垢中,由微生物繁殖所形成的污垢具有黏性,故又把微生物形成的垢称为黏垢。结垢和污垢统称为沉积物或积垢。积垢在管道中积累,会造成堵塞,增加水的阻力,降低传热效率。

循环水可能使热交换器等设备及管道系统腐蚀,其中包括CO2腐蚀、电化学腐蚀和微生物腐蚀。腐蚀使设备的使用寿命减少,维修费用增加,甚至造成事故,影响生产。

循环水处理的任务是:防止或减轻结垢或污垢的产生或沉积;防止或减轻水对设备及系统的腐蚀。应当指出,积垢和腐蚀之间是相互影响且可以相互转化的。沉积物可以引起腐蚀,腐蚀又必然产生沉积物。因此,在循环水处理中,应综合考虑。

1)循环水基本水质要求

循环水水质标准通常将循环冷却水水质按腐蚀和沉积物控制要求,作为基本水质指标。它是一种反映水质要求的间接指标。表3.7为敞开式系统冷却水的主要水质标准、表中腐蚀率和污垢热阻分别表达了对水的腐蚀性和污垢的控制指标。

表3.7 敞开式循环冷却系统冷却水主要水质指标

(1)腐蚀率

腐蚀率一般以金属每年的平均腐蚀深度表示,单位为mm/a。一般可用失重法测定,即将金属材料试件挂于热交换器冷却水中一定部位,经过一段时间,由试验前、后试片质量差计算出每年平均腐蚀深度,即腐蚀率CL

式中:P0,P——分别为腐蚀前、后的金属质量,g;

 ρ——金属密度,g/cm3

 g——重力加速度,m/s2

 F——金属与水接触面积,m2

 t——腐蚀作用时间,h。

对于局部腐蚀,如点蚀(或坑蚀),通常以“点蚀系数”反映点蚀危害程度。点蚀系数是金属最大腐蚀深度与平均腐蚀程度之比。点蚀系数越大,对金属危害越大。

经水质处理后腐蚀率降低的效果称缓蚀率,以η表示:

式中:C0,CL——分别表示冷却水未处理时及水处理后的腐蚀率。

(2)污垢热阻

热阻为传热系数的倒数。热交换器传热面由于结垢及污垢沉积使传热系数下降,从而使热阻增加的量称为污垢热阻。此处污垢热阻指由结垢和污垢沉积而引起的热阻。

热交换器的热阻在不同时刻由于垢层不同而有不同污垢热阻值。在某一时刻测得的称为即时污垢热阻,为经t小时后的传热系数的倒数和开始时(热交换器表面未积垢时)的传热系数的倒数之差:

式中:Rt——即时污垢热阻,m2·h·℃/kJ;

 K0——开始时,传热表面未结垢时测得的总传热系数,kJ/(m2·h·℃);

 Kt——循环水在传热面积垢经t时间后测得的总传热系数,kJ/(m2·h·℃);

 ψt——积垢后传热效率降低的百分数。

即时污垢热阻Rt在不同时间t有不同的值,应作出Rt对时间t的变化曲线,推算出年污垢热阻作为控制指标。

2)影响循环水水质的因素

循环水之所以产生结垢、腐蚀和污垢,其主要原因有以下几个方面:

(1)循环冷却水水质污染

补充水中的溶解盐、溶解气体、微生物及有机物,在生产过程和冷却过程中由外界进入冷却构筑物的污染物,如尘土、泥沙、杂草、设备油、人工加入稳定剂、塔体腐蚀及剥落产物等,都会污染冷却水。系统内部产生的污染,主要是微生物的生长及腐蚀产物。

(2)循环水的脱CO2的作用

天然水中,重碳酸盐类和游离CO2存在平衡关系,即

当它们的浓度符合上述平衡条件时,水质呈稳定状态,大气中游离CO2含量很少,其分压力低。循环水在冷却时,造成CO2大量损失,破坏了上述平衡,使反应向右移动,产生了CaCO3

(3)循环水的浓缩

循环水系统中有4种水量损失:

式中,P1,P2,P3,P4及P分别是蒸发损失、风吹损失、渗漏损失、排污损失及总损失,均以循环水流量的百分数计。

循环水在蒸发时,水分损失,盐分仍留在水中。

风吹、渗漏与排污所带走的盐量为:

补充水带进的盐量为:

式中:S——循环水含盐量;

 SB——补充水含盐量。

当系统投入运行时,系统中的水质为新鲜补充水水质,即S=S1=SB,因此可写成:

式中:S1——投入运行时,循环水的含盐量;

其余符号含义同前。

初期进入系统的盐量大于从系统排出的盐量,随着系统的运行,循环冷却水中盐量逐步提高,引起浓缩作用。如果系统中既不沉淀,又不腐蚀,也不加入引起盐量变化的药剂,则由于水量损失和补充新鲜水的结果,在系统中引起盐量积累,使循环冷却水中含盐浓度不断增大,即S不断增大,也使排出的盐量相应增加。这样,式的右端在运行的最初一段时间里不断增大,而运行一定时间以后,当S由初期的S1增加到某一数值S2时,从系统排出的盐量即接近于进入系统的盐量,此时达到浓缩平衡,即

这时,由于进、出盐量为一稳定值,如以Sp表示,则继续运行不再升高。

令K=,则:

式中,K为浓缩倍数,其值>1,即循环冷却水中的含盐量S总是大于补充新鲜水的含盐量SB。它是循环水的重要指标。提高K值,可节约排污水量,K值的选用需看水质是否稳定。K值在实际应用中,有时用氯离子浓度表示,即

式中:[ClZ——循环水中氯离子的含量;

 [ClB——补充水中氯离子的含量。

(4)水温变化的影响

水在生产过程中,水温升高,钙、镁盐类的溶解度反而降低,水中CO2又部分逸出,用于平衡CaCO3所需的CO2减少,提高了CO2的需要量。水温升高,会使水失去稳定性而产生结垢;反之,冷却过程中,水温降低,水中平衡需要量降低,如果低于水中CO2含量,则此时水具有侵蚀性,使水失去稳定性而产生腐蚀。因此,在循环水系统中,高温区产生结垢,低温区产生腐蚀。

(5)电化学腐蚀

在敞开式冷却水系统中,水与空气充分接触,因此水中溶解氧接近饱和。当碳钢与有溶解氧的水接触时,由于金属表面的不均匀性和冷却水的导电性,在碳钢表面形成许多微电池,在阴、阳极上分别发生氧化还原的共轭反应。

因此,在金属设备上,阳极上不断溶解造成腐蚀,阴极上堆积腐蚀的产物,即铁锈,如图3.31所示。

(6)微生物腐蚀

微生物腐蚀可分为厌氧和好氧腐蚀。

厌氧腐蚀,硫酸盐还原可把水中的硫酸根离子转换为腐蚀性硫化物FeS。

图3.31 铁的电化学腐蚀过程

好氧腐蚀,铁细菌吸收水中的铁离子,分泌出Fe(OH)3,形成铁锈。代谢过程中,往往产生有机酸,也会引起腐蚀。

3.4.3 循环冷却水水质处理

循环水处理包括对结垢、污垢(含粘垢)和腐蚀的控制。由于三者之间相互影响,故应采用综合处理方法。

1)防结垢处理

(1)排污法减小浓缩倍数

在循环水系统中,由式(3.65)知,提高排污量P4可减小K,即排除部分盐浓度高的循环水,补充含盐量少的新鲜水,可降低循环水中盐的浓度,使其不超过允许值。

由式(3.65)可推出排污量为:

由上式可知,补充水含盐量SB越大,排放量P4越大。如果P4太大则不经济,一般P4≤3%~5%。排污法适用于SB远小于S且新鲜补充水水源充足的条件下。

(2)降低补充水碳酸盐硬度

通过水的软化法可使水的硬度降低,从而降低SB。此法只适用于补充水质很差或必须提高浓缩倍数的情况。

酸化法是在水中加入硫酸或盐酸,使碳酸盐硬度转化为非碳酸盐硬度。

CaSO4和CaCl2的溶解度远大于CaCO3,故加酸处理有助防垢。经加酸处理后应满足下列条件:

式中:H′B,H′——分别为酸化后的补充水碳酸盐硬度及循环水碳酸盐硬度;

酸化法适用于补充水的碳酸盐硬度较大时。采用酸化法时,应注意设备及管道的防腐。

(3)提高循环水中允许的极限碳酸盐硬度

提高循环水的极限碳酸盐硬度的常用方法是向水中投加阻垢剂。常用的阻垢剂有聚磷酸盐、聚丙烯酸盐等。

聚磷酸盐常用的有六偏磷酸钠和三聚磷酸钠,既有阻垢作用也有缓蚀作用。可以与Ca2+、Mg2+络合,将之掩蔽起来,阻止生成碳酸盐或非碳酸盐垢,从而提高水中允许的极限碳酸盐硬度。磷酸盐还是一种分散剂,具有表面活性,可以吸附在碳酸钙微小晶坯的表面,使碳酸盐以微小的晶坯形式存在于水中,从而避免结垢。

聚丙烯酸钠是阳离子型分散剂,可增大Ca3(PO42的溶解度,并且使CaCO3形成微小结晶核形式絮状物,容易被冷却水带走。

有机磷酸盐具有良好的热稳定性,有抗氧化性;在较高pH时(7~8.5),仍有阻垢作用,而且还有缓蚀作用。

(4)加CO2

通入CO2气体,使循环水中含量达到平衡的需要量。CO2的来源可利用废烟道气。

2)防污垢处理及微生物控制

微生物产生黏垢,是污垢的一种。生物膜是腐蚀、污垢和结垢出现的原因之一。循环水中的微生物与污垢的处理及防止方法很多,如对补充水进行处理;冷却构筑物及其周围环境的保护;循环系统工艺及管道的完善以及循环水的处理;去除水中悬浮杂质和防止循环冷却水中生物滋长。

(1)旁滤

设旁滤池是防止悬浮物在循环水中积累的有效方法。循环水的一部分连续经过旁滤池过滤后返回循环系统。一般,旁滤池过滤流量占循环水量的1%~5%。其构造与常用的滤池相同。为了简化流程,可采用压力滤池。

(2)化学药剂处理

常用的化学药剂有氧化型杀菌剂、非氧化型杀菌剂及表面活性剂杀菌剂等,其作用主要防止水中微生物的滋长。氧化型杀菌剂主要采用液氯、次氯酸钠、次氯酸钙等。由于氯在冷却塔中易于流失,不能持续杀菌,故可与非氧化型杀菌剂联合使用。

3)防腐蚀处理

利用缓蚀剂,使它在金属表面形成一层薄膜,将金属表面覆盖起来,与腐蚀介质隔绝,防止金属腐蚀。它是防止循环水系统腐蚀的主要方法。根据缓蚀剂成膜的类型,可以将其分为氧化膜、沉淀物膜和吸附膜型三种。根据缓蚀剂对电化学腐蚀的控制部位不同,可分为阳极缓蚀剂和阴极缓蚀剂。

(1)氧化膜型缓蚀剂

氧化膜型缓蚀剂形成的防蚀膜表面致密,与基体金属黏附性强,能阻碍溶解氧的扩散,使腐蚀反应速度降低,而且当保护膜到达一定厚度时,膜的厚度几乎不再增长,因此防腐效果较好。此类缓蚀剂都是重金属含氧酸盐,污染环境。亚硝酸盐类借助水中的溶解氧在金属表面形成氧化膜面成阳极型缓蚀剂,长期使用会导致系统内硝化细菌繁殖,氧化亚硝酸盐为硝酸盐,防腐效果降低。

(2)水中离子沉淀膜型缓蚀剂

水中离子沉淀膜型缓蚀剂与溶解于水中的离子生成难溶盐或溶合物,在金属表面上析出沉淀,形成防腐蚀膜。所形成的膜多孔、较厚、较松散,且基体密合性差。同时,药剂投量过多,垢层加厚,影响传热。此类缓蚀剂有聚磷酸盐和锌盐。聚磷酸盐是生物的营养物质,必须采取措施控制微生物;锌盐由于对环境污染严重,使用上应加以限制。

(3)金属离子沉淀膜型缓蚀剂

这种缓蚀剂是使金属活化溶解,并在金属离子浓度高的部位与缓蚀剂形成沉积,产生致密的薄膜,缓蚀效果良好,在防蚀膜形成之后,即使在缓蚀剂过剩时,薄膜也停止增厚。如巯基苯并噻唑(简称MBT)是铜的很好的阳极缓蚀剂,剂量仅为1~2mg/L。因为它在铜的表面进行整合反应,形成一层沉淀薄膜,抑制腐蚀。巯基苯并噻唑与磷酸盐共向使用,对防止金属的点蚀有良好的效果。这类缓蚀剂还有其他杂环硫醇。

(4)吸附膜型缓蚀剂

吸附膜型缓蚀剂的分子具有亲水性基和疏水性基。亲水基即极性基,能有效地吸附在洁净的金属表面上,而将疏水基团朝向水侧,阻碍水和溶解氧向金属扩散,以抑制腐蚀。防蚀效果与金属表面的洁净程度有关。这种缓蚀剂主要有胺类化合物及其他表面活性剂类有机化合物。这种缓蚀剂的缺点在于分析方法复杂,因而难于控制浓度。

缓蚀剂种类及其性质、应用于各种冷却水系统的代表性缓蚀剂,见表3.8、表3.9。

表3.8 缓蚀剂的种类及其性质

表3.9 应用于各种冷却水系统的代表性缓蚀剂

续表

4)循环冷却水的综合处理

(1)循环水系统的预处理——清洁和预膜

循环水在运行之初,根据缓蚀原理,要在金属表面形成一层保护膜,起抑制腐蚀作用。保护膜的形成过程叫预膜。为了有效地预膜,必须对金属表面进行清洁处理。

循环水系统的预处理包括:化学清洗剂清洗→冲洗干净→预膜,然后转入正常运行。

常用的化学清洗剂有很多,根据所清除的污垢成分选用:以黏垢为主的,应选用以杀菌为主的清垢剂;以泥垢为主的,应选用混凝剂或分散剂为主的清垢剂;以结垢为主的,应选用螯合剂、渗透剂、分散剂为主的清垢剂;以腐蚀产物为主的,应采用渗透剂、分散剂等表面活性剂。

预膜的好坏往往决定缓蚀效果的好坏。预膜在循环水系统运行之前,每次大修、小修之后,设备酸洗之后,系统产生特低pH之后等情况下必须进行。预膜可以采用缓蚀剂配方,也可以用专门的预膜剂配方,请参考有关资料。

(2)综合处理与复方稳定剂

在循环冷却水处理中,一般都不采用单一的方法或单一的药剂。即不仅是对某种处理提出多种方法或复方药剂的要求,而且要对腐蚀、水垢及污垢各方面同时进行综合处理,以保证高质量的循环冷却水,使系统运行高效可靠。

我国采用复合缓蚀剂的配方主要有聚磷酸盐、有机磷酸盐、聚羧酸盐成分。聚磷酸盐主要有六偏磷酸钠、聚磷酸钠;有机磷酸盐主要有EDTMP或HEDP;聚羧酸盐主要为聚丙烯酸钠。此外,有的还添加巯基苯并噻唑。

本章小结

本章内容以地下水及特殊用水对水质要求不同进行分类处理,以除铁、除锰、除氟、软化、除盐、冷却水处理为知识单元,分别介绍了不同去除对象的去除原理、工艺流程、设计和运行参数,要求学生能够利用所学知识,解决实际水质去除的原理、方法及相关运行维护岗位要求。

习 题

1.水中含铁、锰、氟等会有什么危害?

2.目前应用最广的除氟方法是什么?原理如何?

3.什么是水的软化?水软化处理工艺一般应用于哪些场合?

4.说明离子交换树脂结构的组成及其主要功能。

5.试举例说明强酸型离子交换树脂对水中硬度离子的交换过程。

6.保证循环冷却水系统的可靠运行,必须解决哪两个问题?

7.冷却构筑物大体分为哪三类?

8.结垢、污垢和粘垢有何区别?