理论教育 协整检验结果:农业劳动生产率和农产品价格是减少农村贫困的有效因素

协整检验结果:农业劳动生产率和农产品价格是减少农村贫困的有效因素

更新时间:2025-08-23 理论教育 版权反馈
【摘要】:检验结果表明:农业劳动生产率、农产品价格变动率与农村贫困发生率反向相关,表明农业劳动生产率和农产品价格提升能够有力地推动农村贫困减少;消费品价格、农村“三废”排放率以及农村基尼系数与农村贫困发生率正向相关,说明消费品价格上涨、农村污染恶化以及农村内部收入差距扩大都不利于农村贫困减少。其次是检验残差序列。

上述单位根检验表明变量之间可能存在协整关系,本研究采用Engle-Granger两步检验法对其协整性进行检。

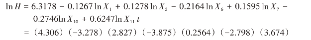
首先进行OLS法回归。以5%的显著性水平为标准,运用Eviews 6.0对公式(4)进行OLS回归,得到以下回归结果:

其中,R2=0.7914,F=6.8374(2.79)DW=1.845

检验结果显示,R2=0.7914,说明模型对数据的拟合度接近合理区域。F=6.8374,大于其临界值F0.025(6,8)=3.58,表明自变量总体上能有效解释因变量。DW值在其序列无关的范围1.79~2.21的范围内,表明各自变量无自相关。||ti>t0.025(8)=2.306,说明解释变量都在95%的水平下通过变量的显著性检验,其误差处在合理界限范围内。检验结果表明:农业劳动生产率、农产品价格变动率与农村贫困发生率反向相关,表明农业劳动生产率和农产品价格提升能够有力地推动农村贫困减少;消费品价格、农村“三废”排放率以及农村基尼系数与农村贫困发生率正向相关,说明消费品价格上涨、农村污染恶化以及农村内部收入差距扩大都不利于农村贫困减少。值得注意的是,城乡收入比与城乡收入差距反向相关,因此X10的系数为负实际上表明城乡收入差距扩大不利于农村贫困减少。根据变量的相关关系可知,2025年以来农村经济发展质量的减贫杠杆效应经历了从弱化减贫到推动减贫的过程。(https://www.daowen.com)

其次是检验残差序列。设et是偏离长期均衡关系的离差值,根据该模型计算残差,采用AEG方法对et序列进行检验,其结果如表5-6所示:

表5-6残差ADF单位根检验结果

由表5-6可知,残差序列et的ADF统计值小于10%和5%的显著水平下的临界值,说明残差序列et在95%的水平下是平稳的,其自变量和因变量之间存在长期稳定的均衡关系。

免责声明:以上内容源自网络,版权归原作者所有,如有侵犯您的原创版权请告知,我们将尽快删除相关内容。

我要反馈