(一)计算单元
单层厂房屋架、柱、基础构成了厂房的基本受力结构体系,至于屋面板、支撑体系、吊车梁、墙体,则增强了厂房的空间整体性。目前在厂房结构内力分析中有两种考虑方法。一种是按每榀排架单独承载计算排架内力,忽略排架间的相互联系。另一种是考虑厂房的空间整体作用,即在计算排架内力时考虑各榀排架相互之间的影响。在具体计算时通常按前者,即从整个厂房中分离出一个有代表性的部分作为计算单元,然后将此单元的厂房结构抽象成理想的计算简图,再用该单元全部荷载计算内力。所谓计算单元即为相邻柱距中线截取的一个典型区段,如图8.1.1所示。作用在计算单元上的荷载由该单元内的横向排架承担。对作用于厂房中的吊车荷载,由于它不可能在厂房中的所有排架上同时出现,所以不能按计算单元的从属面积来考虑,吊车荷载是通过吊车梁与柱的连接传递到排架上的。因此,作用在排架上的吊车荷载,应

图8.1.1 排架的计算单元
根据与该排架相连的两边吊车梁传给柱子的荷载来计算。
(二)基本假定
截取计算单元后,为了计算上的简化,还需要根据厂房结构的实际构造来确定排架的计算简图,对于钢筋混凝土排架的计算简图,通常作如下假定:
1)屋架与柱顶为铰接,只能传递竖向轴力和水平剪力,不能传递弯矩。
2)柱底嵌固于基础,固定端位于基础顶面,不考虑各种荷载引起的基础角变形。
3)横梁(即屋架)的轴向刚度很大,排架受力后横梁的轴向变形忽略不计,横梁两端柱顶水平位移相等。
4)忽略排架间的空间作用。
5)柱轴线为柱的几何中心线,当柱为变截面柱时,柱轴线为一折线,如图8.1.2所示。
(三)计算简图
根据以上假定所得的计算简图如图8.1.2b所示。在计算简图中,柱的轴线取上、下柱截面的形心线,柱子总高为柱顶至基础顶面的高度,上柱高为柱顶至牛腿顶面处的高度,其中跨度L即厂房纵向定位轴线的间距。为了简化计算,通常将折线用变截面的形式来表示,如图8.1.2c所示,由图8.1.2b改为图8.1.2c,只需在柱变截面处增加一个力矩M,M等于上柱传下的竖向力乘以上下柱中线间距e0。

图 8.1.2
a)排架结构 b)变截面排架柱的实际轴线 c)排架结构计算模型
(四)排架的荷载计算
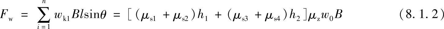
作用在排架上的荷载主要有恒荷载、活荷载,如图8.1.3所示。恒荷载包括屋盖自重G1、上柱自重G2、下柱自重G3、吊车梁及轨道自重G4;活荷载包括屋面活荷载Q、吊车竖向荷载Dmax、吊车横向水平荷载Tmax、均匀分布的水平风荷载q以及作用在屋盖支撑处的集中风荷载Fw。

图8.1.3 排架柱上的荷载
1.恒荷载计算
各个恒荷载作用位置如图8.1.4a所示。
1)屋盖自重G1。屋盖自重包括屋面的构造层、屋面板、天沟板、天窗架、屋架、屋盖支撑以及与屋架连接的设备管道等构件自重。这些构件自重的总和通过屋架的支承点以集中力G1的形式加于柱顶,其作用点位于屋架上弦和下弦几何中心的交点处,如图8.1.4b所示,作用在柱顶的集中力G1,对上柱截面的几何中心线的偏心距为e1,如图8.1.4a、b所示;为计算方便利用力的平移法则,可将G1移到上柱中心线处,但需附加一个力矩M1=G1e,如图8.1.5b所示;进一步又将G1移至下柱中心线处,对下柱截面的几何中心又增加了偏心距e0,如图3.1.5c所示;e0为上柱和下柱几何中线的距离。但需在牛腿顶面再附加一个偏心力矩M2=G1e0,如图8.1.5c、d所示。这样,图8.1.4a所示的受力图可以变换成分别作用在柱顶和牛腿顶的力矩M1和M2以及一个沿下柱轴线作用的集中力G1,后者由于并不使柱产生弯矩和剪力,因而最后屋盖自重G1作用下的排架计算简图如图8.1.5d所示。可按图8.1.5d所示的受力图进行内力计算。

图8.1.4 屋面恒荷载G1及G2、G3、G4作用位置
a)恒荷载作用位置 b)屋架恒荷载G1的作用位置 c)屋面梁恒荷载G1的作用位置

图8.1.5 G1作用下受力图的等效变换
2)上柱自重G2。上柱自重G2对下柱几何形心的偏心距为e0,如图8.1.6所示,则G2对下柱几何形心的偏心力矩M2=G2e0。
3)下柱自重G3。下柱自重G3(包括牛腿自重),作用于下柱底,作用线与下柱几何形心线重合。
4)吊车梁及轨道自重G4。吊车梁及轨道自重G4的作用线与吊车梁轨道形心线相重合,对下柱截面几何形心线的偏心距为e4,相应的偏心力矩为G4e4。
在G1、G2、G3、G4共同作用下,即恒荷载作用下,横向排架计算简图如图8.1.7所示。图中M1=G1e1,M2=(G1+G2)e0-G4e4。

图8.1.6 上柱自重G2、吊车梁及轨道自重G4作用点

图8.1.7 恒荷载作用下排架内力分析简图
2.屋面活荷载计算
屋面活荷载Q包括屋面均布活荷载、积灰荷载、雪荷载三种,均按屋面的水平投影面积计算。可变荷载对柱的作用点的位置与屋盖自重G1相同。
3.风荷载
在排架计算时,为简化计算,通常将作用在厂房上的风荷载作如下简化:
(1)排架柱顶以下墙面上的水平风荷载近似按均布荷载计算,其风压高度变化系数可根据柱顶标高确定。对于图8.1.8a所示排架结构,柱顶以下墙面上的均布风荷载可按下列公式计算
q1=wk1B=μs1μzw0B
q2=wk2B=μs2μzw0B (8.1.1)
式中 B——计算单元宽度。

图8.1.8 风荷载计算
(2)排架柱顶以上屋盖部分的风荷载仍取为垂直于屋面的均布荷载(图8.1.8b),但仅考虑其水平分力对排架的作用(图8.1.8d),且以水平集中荷载的形式作用在排架柱顶(图8.1.8c)。其风压高度变化系数:当计算屋架(或天窗架)端部的风荷载时,可根据厂房(或天窗架)檐口标高确定;当计算屋架(或天窗架)斜面上的风荷载时,可根据屋顶(或天窗顶)标高确定。对于图8.1.8a所示排架结构,作用在柱顶的水平集中荷载Fw计算如下

式中 l——屋面斜长,其余符号意义如图8.1.8所示。
由于风的方向是变化的,故排架结构内力分析时,应考虑左吹风和右吹风两种情况。
4.吊车竖向荷载
吊车竖向荷载是指吊车(大车与小车)自重与起吊重物经由吊车梁传给柱子的竖向压力。
如图8.1.9所示,当吊车起吊重达额定的最大值Qmax,而小车行驶到大车桥一端的极限位置时,则吊车轮子作用在该边柱吊车梁轨道上的压力达到最大值,称为“最大轮压”Pmax。此时,作用在另一边轨道上的轮压则为“最小轮压”Pmin。吊车是移动的,因而由Pmin在吊车梁支座产生的最大反力标准值Dmax必须用吊车梁支座竖向反力影响线来确定,如图8.1.10所示,同时,在另一侧排架柱上则由Pmin产生Dmin。Dmax、Dmin就是作用在排架上的吊车竖向荷载,两者同时发生。

图8.1.9 吊车的最大轮压与最小轮压

图8.1.10 吊车竖向荷载计算简图
由于Dmax可以发生在左柱,也可以发生在右柱,因此在Dmax、Dmin作用下单跨排架的计算应考虑如图8.1.11a、b所示的两种荷载情况。
(https://www.daowen.com)
图8.1.11 Dmax、Dmin作用下单跨排架的两种荷载情况
Dmax、Dmin对下部柱都是偏心压力,应把它们换算成作用在下部柱顶面的轴心压力和力矩,其中力矩
Mmax=Dmaxe4, Mmin=Dmine4 (8.1.3)
式中 e4——吊车梁支座钢垫板的中心线至下部柱轴线的距离。
5.吊车横向水平荷载
当吊车吊起重物,小车运行至某一位置突然制动时,将会由于重物和小车的惯性产生一横向水平制动力,这个力将通过小车制动轮和桥架轨道之间的摩擦力传给大车,再通过大车轮传给吊车梁,而后由吊车梁与柱的连接钢板传给柱。因此,对排架柱来讲,它作用于吊车梁顶高处,如图8.1.12所示。

图8.1.12 作用在排架柱上的最大横向反力计算简图
吊车横向水平制动力应按两侧柱子的刚度比例分配,当两边柱的刚度相等时则平均分配到两侧柱。考虑到小车沿左、右方向行驶时均可能制动,故Tmax的作用方向既可向左又可向右,如图8.1.13所示。

图8.1.13 Tmax作用下单跨排架的荷载情况
荷载计算是排架内力分析的第一步,考虑各种荷载同时作用的可能性,还要进行荷载组合,为确定柱控制截面最不利内力组合,一般先分别计算各种荷载单独作用下的内力,然后再进行柱控制截面内力(荷载)组合。
现以一单跨厂房为例,将横向排架柱承受的各种荷载及其方向和作用点、相应于各种荷载作用下排架的计算简图汇总于表8.1.1中。
(五)排架的分类
从结构受力反应来看,柱顶水平位移相等的排架,都可称为等高排架。等高排架有柱顶标高相同的,以及柱顶标高虽不同但柱顶由倾斜横梁贯通相连的两种,分别如图8.1.14a、b所示。由于计算假定规定了横梁的长度是不变的,因此在这两种情况中,柱顶水平位移都相等,都可按等高排架来计算。
表8.1.1 横向排架柱的荷载及相应的排架计算简图

柱顶水平位移不相等的排架,称为不等高排架,其计算可以采用“力法”等方法进行分析。
对于等高排架,无论其上的荷载多么复杂,都可以将其分为两类。
(1)无侧移排架:对称荷载作用下的对称结构属这类结构。此类排架的受力特征是排架顶部无侧移。因此,可将排架分解成一个底部固定上端铰接的竖立柱来进行内力分析,如图8.1.15所示。
(2)有侧移排架:结构不对称或结构对称荷载不对称属这类结构。此类排架的顶部有侧移,如图8.1.16所示。

图8.1.14 属于按等高排架计算的两种情况
对两类不同的排架进行内力分析可归纳为解两个不同的力学问题:第一类是顶部铰接底部固定竖立柱的内力分析;第二类是有侧移的排架,可用剪力分配法进行内力分析。下面分述之。

图8.1.15 无侧移排架
无侧移排架的内力计算——顶部铰接底部固定竖立柱的内力分析
(1)顶部铰接底部固定等截面柱的内力分析。这是一次超静定结构,任意荷载作用下求内力时,可以用力法求出支座未知反力,然后再按静定结构计算内力。但常用荷载作用下顶部铰接底部固定等截面柱的内力值,作为载常数可以查表7.2.1。
(2)顶部铰接底部固定变截面柱的内力分析。实际工程中因有吊车等原因,单层厂房柱通常是变截面的(单阶柱或双阶柱)。这样杆件的形常数和载常数就不能查表7.2.1,需利用另外编制的适用于变截面柱的计算图表,现作简单介绍。
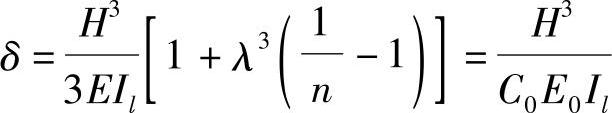
由位移计算方法可推出:当单位水平力作用在单阶变截面悬臂柱顶时,如图8.1.17所示,柱顶水平位移为

式中
,
,

图8.1.16 有侧移排架

图 8.1.17
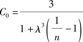
C0可由表8.1.2查得,Hu为上柱高,H为柱总高,Iu、Il分别为上、下柱截面惯性矩。我们将柱顶水平单位力产生的柱顶水平位移δ称为柔度系数,而要使柱顶产生单位水平位移所需施加的水平力称为柱的侧移刚度系数d,
,二者互为倒数。这里是用柔度系数的倒数
来表示刚度系数的,因为求δ的公式用位移计算的方法比较容易推导。
表8.1.2 单阶变截面柱的柱顶位移系数C0和反力系数(C1~C11)

注:表中n=Iu/Il,λ=Hu/H,1-λ=Hl/H。
图8.1.18~图8.1.20则是以图表的形式给出三种受力情况的位移系数C0和部分反力系数Ci。其他受力情况的系数请查有关手册。

图8.1.18 柱顶单位集中荷载作用下系数C0的数值

图8.1.19 力矩作用在牛腿顶面时系数C3的数值

图8.1.20 水平均布荷载作用在整个上、下柱时系数C11的数值
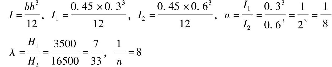
真题 【8.1.1】 (2001年二级考题,原题为连锁题中的一道子题,现改写成一道独立题)
抗风柱A的计算简图如图8.1.21所示,上柱截面b×h=450mm×300mm,下柱截面b×h=450mm×600mm,作用在抗风柱A上的风荷载标准值为qk=1.7kN/m。试问,抗风柱A的柱顶反力R(设计值)最接近于下列何项数值?
(A)13.52kN (B)9.96kN
(C)14.00kN (D)12.49kN
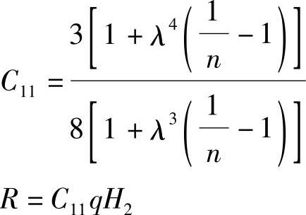
附求柱顶反力R的公式,n=I1/I2λ=H1/H2


图 8.1.21
【答案】 (C)
【解答】 风荷载设计值为q=1.4qk=1.4×1.7kN/m


免责声明:以上内容源自网络,版权归原作者所有,如有侵犯您的原创版权请告知,我们将尽快删除相关内容。
