(一)基本思路
框架的水平荷载主要有风荷载和地震作用,它们都可以简化为框架节点水平集中荷载的作用。在水平荷载作用下,框架的弯矩图如图8.2.1所示。
因无杆上荷载,各杆的弯矩图都是直线,各杆都有一个弯矩为零的点称为反弯点。当然,各杆的反弯点位置未必相同。图8.2.2列出框架在节点水平外荷载作用下的变形情况。

图8.2.1 框架在水平荷载下的弯矩示意图

图8.2.2 框架在水平荷载下的变形示意图
框架在节点水平荷载作用下,每一节点除有一个相对水平位移(即层间位移)Δ1、Δ2…Δm之外,还有一个节点转角θ1、θ2…θn。由于框架越靠近下层其层间剪力越大,因而层间水平位移和转角越靠下层也就越大,即Δ1>Δ2>…>Δm和θ1>θ2>…>θn。各层间水平位移Δ引起柱的变形特点,不论Δ大小如何,柱上下两端引起的弯矩相同,柱上、下两段弯曲方向相反,其反弯点都在柱高的中点。各层间柱上、下端的转角θ一般来说很小,其对框架内力的影响远远小于水平位移Δ对内力的影响。各层柱上、下端的转角引起柱的变形特点,同样是两个反向曲线,其反弯点的位置亦在柱高的中部,由于柱上、下两端的转角不一定相同,所以不一定是柱高中点。综合这两种变形特点,可确认反弯点的位置就在柱高的中部。寻找出反弯点的位置是确定内力的第一项重要内容。
由于在反弯点处曲率为零,弯矩为零,在此截面,柱仅承受由外荷引起的剪力和轴力,因而可在反弯点处加一个铰。这样就可将图8.2.3a所示原框架结构转化为图8.2.3b所示的结构计算简图。再将图8.2.3b分解为图8.2.3c所示的一组单层小开口框架。各层铰处的层间剪力等于该铰截面以上的外荷。若能确定各柱的抗侧刚度就能按各柱的刚度比将层间剪力分配给各柱。有了每层各柱的剪力,即可按静定方法绘出各小开口框架的弯矩图,如图8.2.3c所示(梁弯矩未绘出),然后组合各单层小开口框架的弯矩图即得整体框架在外荷载作用下柱的弯矩图,如图8.2.3d所示。所以寻找柱的侧移刚度是计算内力的另一项重要内容。

图8.2.3 计算简图
真题 【8.2.1】 (1999年一级考题)
用D值法分析多层多跨框架在水平荷载作用下的内力时,对除底层柱底外的其余各层梁、柱节点的转角所作的假定,应为下列何项所述?
(A)所有各层梁、柱节点的转角均为0
(B)同一柱上、下节点转角相等,且同层各柱上、下节点转角也相等
(C)同一柱上、下节点转角不相等,且同层各柱的上节点转角或下节点转角分别也不相等
(D)同一柱上、下节点转角不相等,但同层各柱的上节点转角或下节点转角分别相等
【答案】 (C)
【解答】 框架在节点水平荷载作用下,每一节点除有一个相对水平位移(即层间位移)Δ之外,还有一个节点转角θ。由于框架越靠近下层其层间剪力越大,因而层间水平位移和转角越靠下层也就越大。同一柱、同一层柱,上下端所连接的梁线刚度一般不同,约束不同,所以转角也不相同。
(二)转角位移方程
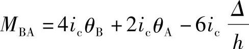
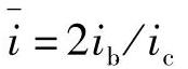
柱内反弯点的位置以及柱的抗侧刚度都与梁柱的线刚度有关,与柱端的支承条件有关。图8.2.4给出了一个规则框架,不在底层的某柱AB的柱端支承条件。所谓规则框架,如图8.2.4a所示,是指层高、跨度、柱的线刚度和梁的线刚度分别相等的框架。框架在水平荷载作用下产生变形后,柱AB到达了新的位置A′B′。A′与B′在水平方向上的位移差为Δ,得弦转角为φ=Δ/h,柱AB的上下端产生转角θA、θB,如图8.2.4b所示。
对于两端同时存在转角位移和相对线位移的杆件,计算位移和内力之间关系的转角位移方程可以从有关教材中找到,现直接引用于下。


图8.2.4 规则框架柱侧移刚度计算图

此处,ic为柱的线刚度。
(三)柱的抗侧刚度
现根据梁柱的线刚度比分两种情况讨论。
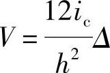
(1)当假定横梁线刚度无限大,柱按一端固定,一端滑动(即只能移动,不能转动)
在实际工程中,如果梁的线刚度比柱的线刚度大很多(ib/ic≥3),则可近似认为柱两端不能转动,梁柱节点的转角θ为零,只有侧移Δ的框架在水平荷载作用下的变形如图8.2.5a所示。

图8.2.5 横梁线刚度无限大
根据式(8.2.1),当θA=θB=0时(图8.2.6),则

式中 ic——柱线刚度;
h——柱高。
令


d称为柱的抗侧刚度,即单位侧移下的剪力。这种情况下反弯点在柱高的中点。
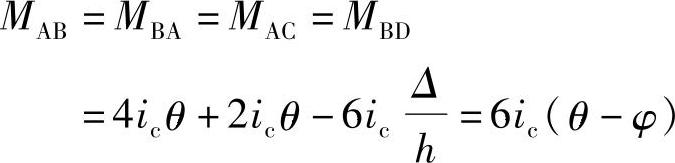
(2)梁柱线刚度比小(ib/ic<3),杆端有相对位移Δ,且有转角θ时(图8.2.7),为简化计算,作如下假定:
1)柱AB以及与之相邻的各杆件杆端转角相等均为θ,即θA=θB=θ。

图 8.2.6

图 8.2.7
2)柱AB以及与之相邻的上下层柱的弦转角相等,均为φ=Δ/h。
3)柱AB以及与之相邻的上下层柱的线刚度相等,均为ic。
由上述假定和式(8.2.1)转角位移方程,可求出与节点A和节点B相邻杆件的杆端弯矩,如图8.2.4b所示。

MAE=4i3θ+2i3θ=6i3θ,MAG=6i4θ
MBF=6i1θ,MBH=6i2θ
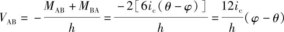
由节点A和节点B的力矩平衡条件,分别可得
6(i3+i4+2ic)θ-12icφ=0
6(i1+i2+2ic)θ-12icφ=0
将上两式相加,简化后可得

式中
,
称为梁柱线刚度比。
柱AB所受到的剪力为

将式(8.2.4)代入可得

由此得柱的侧移刚度用D表示

对比式(8.2.3),有

由αc表达式可知,αc值表示梁柱刚度比对柱刚度的影响,节点转动的大小取决于梁对节点的转动约束程度,梁刚度越大,对柱转动的约束能力越大,节点转角越小,αc就越接近于1。当梁柱刚度比K值无限大时,αc=1,所得D值与d值相等。当梁线刚度相对较小时,
值较小,αc<1,D<d值。反映了由于节点转动导致柱抵抗侧移能力的降低程度。因此,αc被称为柱刚度修正系数。
对于框架的底层柱,由于底端为固结支座,无转角,推导思路类似,过程从略,所得底层柱的K值及αc值不同于上层柱。现将K及αc的计算公式归纳于表8.2.1中。
表8.2.1 不同情况下αc和K计算公式

注:边柱情况下,式中i1、i3或ip1取0值。
上述d值及D值是在不同条件下的柱抗侧刚度,可利用它们求得框架在水平荷载作用下柱的剪力。
用d值求解框架内力被称为反弯点法,反弯点法假定梁刚度无限大,节点无转角,除底层柱外,柱的反弯点都在柱高中点,底层柱则取离柱底
柱高处。实际工程中当ib/ic≥3时,才可用反弯点法计算。
用D值法求解框架内力时,称为D值法,考虑了节点转角的影响,又称为改进的反弯点法。反弯点位置,不一定在柱中点。要根据一些因素进行修正确定,D值法较为精确,也具有更普遍的意义。但由于在推导αc式时作了一些假定,仍属近似法。
(四)剪力分配
在利用抗侧刚度作剪力分配时,作了以下两个假定:
(1)忽略在水平荷载作用下柱的轴向变形,柱的剪力只与水平位移有关。
(2)梁的轴向变形很小,可以忽略,因而同一楼层处柱端位移相等。
假定在同一楼层中各柱端的侧移相等,则同层柱的相对位移Δ都相等,由此可得到第j层各个柱子的剪力如下

式中 i——柱编号;
Vij、Dij——第j层第i根柱子的剪力及抗侧刚度假定有m根柱。
因为
V1j+V2j+…+Vmj=Vpj (8.2.8)
所以
Δj(D1j+D2j+…+Dmj)=Vpj

将Δ代入式(8.2.2),可得

Vpj是第j层总剪力,式(8.2.10)即柱的剪力分配公式。
从上面推导过程可见,式(8.2.10)不限于一榀框架中各柱的剪力分配,也可推广适用于整个框架结构,这时式(8.2.10)中的Vpj为该框架结构第j层的总剪力,m为该框架结构j层所有柱的总数。在剪力分配时,将整个结构层的总剪力直接分配到该层各柱往往更为方便而直接,不必经过先分配到每榀框架,再分配到柱这个过程。
(五)反弯点高度比y
反弯点到柱底距离与柱高度的比值称为反弯点高度比,反弯点到柱底距离即为yh。
D值法在确定柱反弯点位置时,要考虑影响柱上下节点转角的各种因素,即柱上下端的约束条件。如图8.2.8a所示,可见当两端约束相同时,θj=θj-1,反弯点在中点,当两端约束不相同时,θj≠θj-1,反弯点则移向转角较大的一端,也就是移向约束刚度较小的一端,其极端情况如图8.2.8b所示,图中一端铰接,该端转动约束刚度为0,弯矩为0,即反弯点与该铰接端重合。
影响柱两端约束刚度的主要因素是:
(1)结构总层数与该层所在位置。

图8.2.8 反弯点到柱底距离
(2)梁柱线刚度比。
(3)上层与下层梁刚度比。
(4)上、下层层高变化。
反弯点高度比y用下式计算
y=y0+y1+y2+y3 (8.2.11)
式中 y0——标准反弯点高度比,它是在假定各层层高相等、各层梁线刚度相等的情况下通过理论推导得到的,分为均布水平力和三角形分布水平力两种作用;
y1、y2、y3——考虑上、下梁刚度不同和上、下层层高有变化时反弯点位置变化的修正值。
1)标准反弯点高度比。为使用方便,已把标准反弯点高度比的值制成表格。在均布水平荷载下的y0列于表8.2.2(本书仅列出部分)。在倒三角形分布荷载下的y0列于表8.2.3(本书仅列出部分)。根据该框架总层数m及该层所在楼层n以及梁柱线刚度比K值(K值计算见表8.2.1),可从表中查得标准反弯点高度比y0。
表8.2.2 规则框架承受均布水平力作用时标准反弯点的高度比y0值

(续)

注:
。
表8.2.3 规则框架承受倒三角形分布水平力作用时标准反弯点的高度比y0值

2)上下梁刚度变化时的反弯点高度比修正值y1。当某柱的上梁与下梁刚度不等,则柱上、下节点转角不同,反弯点位置有变化,修正值为y1,如图8.2.9所示。
当i1+i2<i3+i4时,令α1=(i1+i2)/(i3+i4)
根据α1和
值从表8.2.4中查出y1,这时反弯点应向上移,y1取正值。
当i3+i4<i1+i2时,令α1=(i3+i4)/(i1+i2)

图8.2.9 梁刚度变化对反弯点影响
仍由α1和
值从表8.3.4中查出y1,这时反弯点应向下移,y1取负值。
对于底层,不考虑y1修正值。
表8.2.4 上下层横梁线刚度比对y0的修正值y1

注:
时,则α1取倒数,即
,并且y1值取负号“-”。
3)上下层高度变化时反弯点高度比修正值y2和y3。层高有变化时,反弯点也有移动,如图8.2.10所示。
令上层层高和本层层高之比h上/h=α2,由表8.2.5可查得修正值y2。当α2>1时,y2为正值,反弯点向上移。当α2<1时,α2为负值,反弯点向下移。
同理,令下层层高和本层层高之比h下/h=α3,由表8.2.5可查得修正值y3。

图8.2.10 层高变化对反弯点影响
表8.2.5 上下层高变化对y0的修正值y2和y3

注:
上层较高时为正值;
(六)框架内力计算
用D值法(或者用反弯点法)求得各柱剪力并确定了反弯点位置之后,梁柱内力可以很容易求得。
(1)由各柱剪力Vij,及反弯点位置yij计算柱端弯矩。
j层i柱上端弯矩 Mtij=Vij(1-yij)hj
j层i柱下端弯矩 Mbij=Vijyijhj
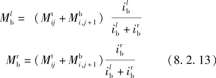
(2)根据节点平衡计算梁端弯矩之和,再按左右梁的线刚度将弯矩分配到梁端,如图8.2.11所示。


图 8.2.11
(3)根据梁两端弯矩计算梁剪力Vb。
(4)根据梁剪力计算柱轴力Nc。
(七)算例
【8.2.2】 用反弯点法作框架的弯矩图
条件:框架如图8.2.12所示,圆圈内数字为相对线刚度。

图 8.2.12
要求:用反弯点法计算如图8.2.12所示的框架并画出弯矩图。
【解答】 设底层柱的反弯点在离底2/3柱高度处,其他各层柱的反弯点在柱高中点。在反弯点处将柱切开,隔离体如图8.2.13所示。为了绘图方便,本图将各层分别切开求剪力并合成了一个图。
柱的剪力用下式求得:
(式中∑P表示某反弯点以上所有水平外力作用之和)。

图 8.2.13
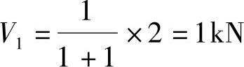
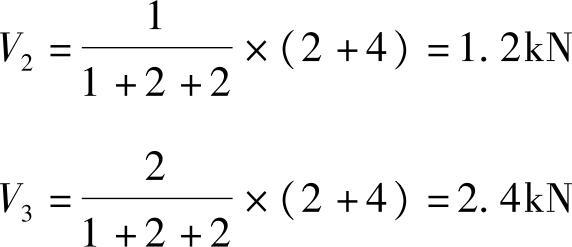
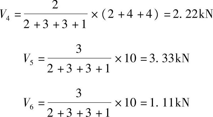
顶层柱剪力:

第3层柱剪力:

第2层柱剪力:

底层柱剪力:

图8.2.14是刚架的M图。以节点K为例,说明柱端和梁端弯矩的计算,如图8.2.15所示。
柱: MKD=V3×2.5=2.4×2.5=6kN·m
MKG=V5×2.5=3.3×2.5=8.32kN·m
节点不平衡弯矩:MKD+MKG=-6.0-8.32=-14.32kN·m
梁: 
(https://www.daowen.com)

图 8.2.14

图 8.2.15
【8.2.3】 用D值法作框架的弯矩图(三层)
条件:图8.2.16a为三层框架结构的平面及剖面图。图8.2.16b给出了楼层标高处的总水平力及各杆线刚度相对值。

图 8.2.16
要求:用D值法分析框架内力
【解答】
(1)计算每根柱分配到的剪力。
计算各层柱D值见表8.2.6。如图8.2.16a所示,每层有10根边柱及5根中柱,所有柱刚度之和为∑D。第i层分配到第j根柱的剪力按下式计算,即

表 8.2.6

(2)计算反弯点位置。
计算见表8.2.7。
表8.2.7 各层柱反弯点位置计算

(续)

(3)计算柱端弯矩。
根据各柱反弯点位置及柱剪力求得。
(4)计算梁端弯矩。
根据节点平衡求得梁端弯矩。根据梁端弯矩求梁端剪力。弯矩及反弯点位置如图8.2.17所示。
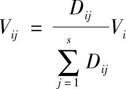
【8.2.4】 用D值法计算复式刚架
条件:如图8.2.18所示复式刚架,i为线刚度。

图8.2.17 框架反弯点位置及弯矩图

图 8.2.18
要求:试用D值法计算如图8.2.18所示复式刚架,作M图。
【解答】
(1)D值计算及剪力分配。
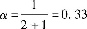
柱AF(底层)
,

柱BD(底层)
,α=0.5,
柱CE(底层)
,α=0.5

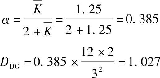
柱DG(一般层) 

柱EH(一般层)
,

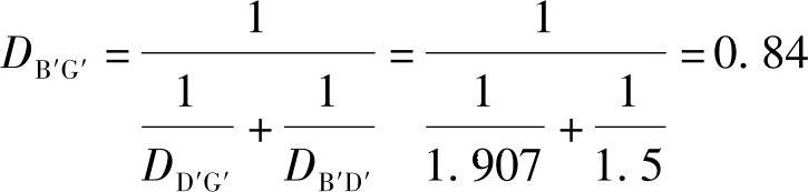
将柱DG、EH并联得DD′G′=DDG+DEH=1.027+0.88=1.907将柱BD、CE并联得DB′D′=0.75+0.75=1.5将D′G′、B′D′串联得

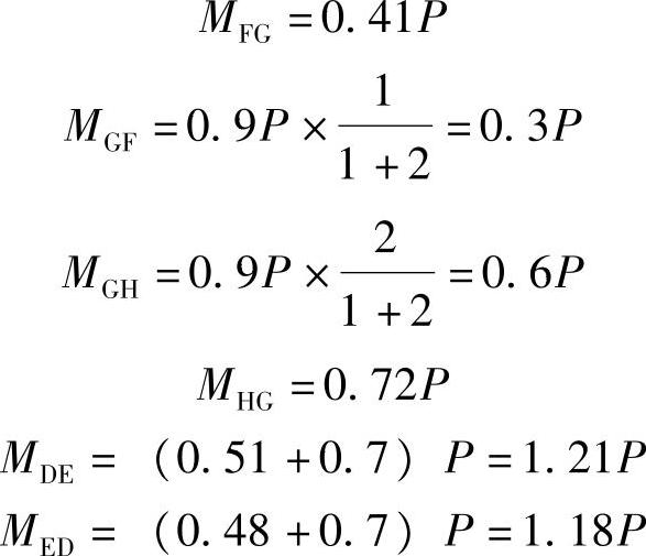
剪力分配: 
刚架BGHC分配到的剪力是0.87P于是

(2)反弯点高度比计算如图8.2.19a所示,其中y0查表8.2.3,y1、y2、y3分别查表8.2.4、表8.2.5。
(3)计算柱子弯矩M上及M下,如图8.2.19a所示。
(4)梁的弯矩:

(5)弯矩图如图8.2.19c所示。括号内数值为精确值。可以看出D值法的精度比反弯点法要高些,但仍属近似法。

图 8.2.19
(八)考题
1.反弯点法
真题 【8.2.5】 (2012年一级考题)
如图8.2.20所示现浇混凝土三层框架。满足反弯点计算条件,首层柱反弯点在距本层柱底

图 8.2.20
2/3柱高处,二、三层柱反弯点在本层1/2柱高处。试问,一层框架梁L1右端在侧向荷载作用下的
弯矩Mk(kN·m)最接近于下列何项数值?
(A)29 (B)34
(C)42 (D)50
【答案】 (B)
【解答】
(1)反弯点法求一、二层中柱上、下端弯矩。
(以下弯矩、剪力均以绕杆端顺时针为正)

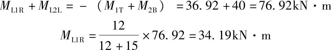
(2)根据一层中间节点平衡可得ML1R和ML2L的和,再按二梁的刚度分配
∑M(D)=0,ML1R+ML2L+M1T+M2B=0

真题 【8.2.6】~【8.2.7】 (2003年一级考题)
有一现浇钢筋混凝土框架结构,受一组水平荷载作用,如图8.2.21所示,括号内数据为各柱和梁的相对线刚度。由于梁的线刚度与柱线刚度之比较大,节点转角θ很小,它对框架的内力影响不大,可以简化为反弯点法求解杆件内力。顶层及中间层柱的反弯点高度为1/2柱高,底层反弯点高度为2/3柱高。

图 8.2.21
a)梁DE b)梁EF
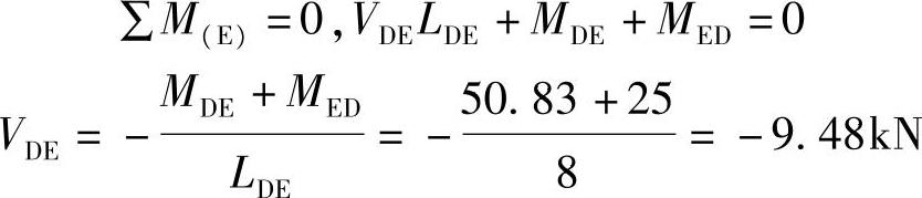
真题 【8.2.6】 (2003年一级考题)
已知梁DE的MED=25.0kN·m,试问梁DE的梁端剪力VD与下列何项数值最为接近?
(A)VD=9.5kN (B)VD=20.8kN (C)VD=6.8kN (D)VD=5.7kN
【答案】 (A)
【解答】
(1)反弯点法求DA、DG柱端弯矩。
以下弯矩、剪力均以绕杆端顺时针为正,因为侧移刚度的E、h均相同,所以剪力分配系数的侧移刚度用线刚度计算。


(2)根据节点D平衡可得杆DE的D端弯矩
∑M(D)=0,MDE+MDA+MDG=0,MDE=30+20.83=50.83kN·m
(3)已知MED,则取杆DE平衡可求D端剪力

真题 【8.2.7】 (2003年一级考题)
假定MED未知,试求梁EF的梁端弯矩MEF,并指出它最接近下列何项数值?
(A)MEF=63.8kN·m (B)MEF=24.5kN·m
(C)MEF=36.0kN·m (D)MEF=39.3kN·m
【答案】 (D)
【解答】
(1)反弯点法求EB、EH柱端弯矩,以下弯矩、剪力均以绕杆端顺时针为正

(2)根据节点E平衡可得MED和MEF的和,再按二梁的刚度分配

2.D值法
真题 【8.2.8】 (2001年一级考题)
如图8.2.22所示为一复式框架,假定楼板在自身平面内的刚度为无限大,其柱边所注数字为用D值法求出的各柱D值的相对值。问,当AL柱的DAL值为下列何项数值时,则①、②和③轴顶层各列柱顶所受的剪力均为P/3?

(楼板在自身平面内刚度无穷大——计算简图平面内刚度无穷大)
【答案】 (A)

图 8.2.22
【解答】 柱BM、BN各层相等,按刚度串联计算全柱刚度,则柱AL与其相等,即可使3轴分配剪力P/3

真题 【8.2.9】~【8.2.10】 (2001年一级样题)
如图8.2.23和图8.2.24所示12层钢筋混凝土框架-剪力墙结构,现浇楼(屋)面。

图 8.2.23

图8.2.24 结构剖面及墙、柱截面尺寸及混凝土强度等级表
真题 【8.2.9】 (2001年一级样题)
若第12层及屋顶层横梁L1的截面尺寸均为250mm×550mm,混凝土强度等级为C20。第12层框架横向边柱的刚度修正系数αc最接近于下列何项数值?
(A)0.46 (B)0.30 (C)0.34 (D)0.63
提示:与梁柱刚度比有关的刚度修正系数αc按表8.2.1计算。
表8.2.1 αc的计算

注:Kb1~Kb4为梁的线刚度;Kc为柱的线刚度。
【答案】 (B)
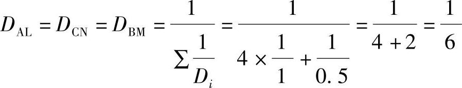
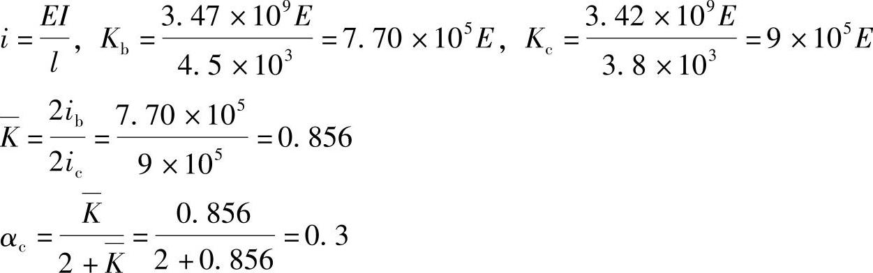
【解答】
,
,

真题 【8.2.10】 (2001年一级样题)
当考虑框架-剪力墙协同工作横向计算时,若第六层框架部分所承受的水平地震总剪力QF=900kN,并已知第六层每根边柱的侧移刚度D边=1.8×104N/mm,每根中柱的侧移刚度D中=2.6×104N/mm,则第六层每根中柱承受的水平地震剪力V6中(kN)最接近于下列何项数值?
(A)46 (B)34 (C)83 (D)377
【答案】 (A)
【解答】
图8.2.23中利用对称线表示的建筑平面为一半,剪力墙的边缘构件不能算成柱(横向计算时,纵向剪力墙的边缘构件,计为框架柱)
横向计算时,由图8.2.23知边柱18根,中柱7根,则第六层全部柱子的D值之和为

则第六层每根柱承受的水平地震剪力为

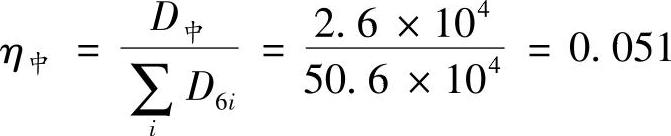
(由于第六层中各柱高相等),因此每根中柱的水平剪力分配系数为

所以第六层每根柱承受的水平地震剪力为:V6中=η中×QF=0.051×9000=46kN
真题 【8.2.11】 (2007年一级考题,原题为连锁题中的一道子题,现改写成一道独立题)
某10层框架结构,某一榀框架,对应于水平地震作用标准值的首层框架柱总剪力V=40kN,该榀框架首层柱的抗推刚度总和∑Di=130000kN/m,其中柱C1的抗推刚度DC1=28506kN/m,其反弯点高度hy=3.8m,沿柱高范围没有水平力作用。试问,在水平地震作用下,采用D值法计算柱C1的柱底弯矩标准值(kN·m),最接近于下列何项数值?
(A)220 (B)270 (C)340 (D)390
【答案】 (C)
【解答】 已知首层的侧移刚度总和及柱C1侧移刚度,按柱侧移刚度所占的比例分配剪力,乘以反弯点高度即可确定柱端弯矩

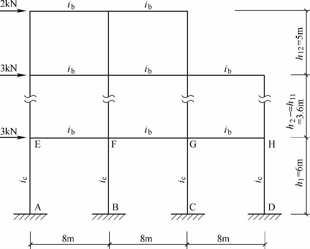
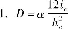
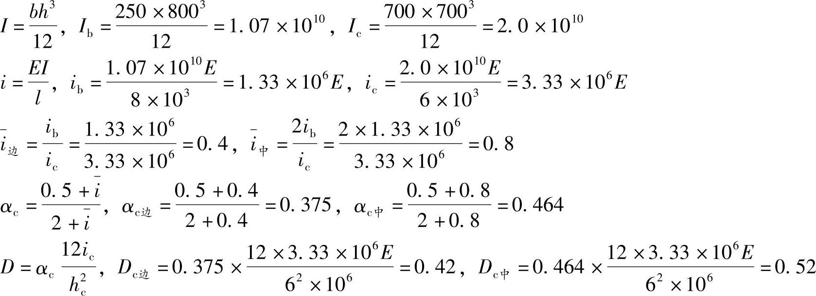
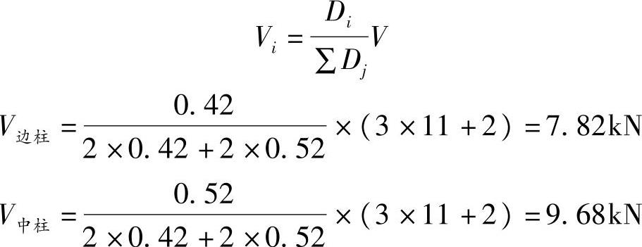
真题 【8.2.12】 (2000年一级考题)
条件:某12层钢筋混凝土框架,其轴线尺寸及风荷载设计值如图8.2.25所示,梁截面为250mm×800mm,柱截面:1~4层为700mm×700mm,5~12层为600mm×600mm,梁、柱混凝土强度等级,1~4层为C25,5~12层采用C20。底层柱的反弯点距柱脚0.8h1(边柱)及0.65h1(中柱)。

图 8.2.25
注:中间层各楼层风荷载均为3kN
要求:假定楼板在自身平面内的刚度为无限大,用D值法计算风荷载作用下底层框架柱的弯矩。
提示:
2.刚度修正系数
式中对于边柱
,对于中柱
【解答】
(1)计算边柱、中柱的D值。

(2)计算各柱剪力。

(3)计算底层框架柱的弯矩。
底层柱的反弯点距柱脚0.8h1(边柱)及0.65h1(中柱)
M下端=Vyh,M上端=V(1-y)h
M边柱下端=7.82×0.8×6=37.54kN·m
M边柱上端=7.82×(1-0.8)×6=9.38kN·m
M中柱下端=9.68×0.65×6=37.75kN·m
M中柱上端=9.68×(1-0.65)×6=20.33kN·m
免责声明:以上内容源自网络,版权归原作者所有,如有侵犯您的原创版权请告知,我们将尽快删除相关内容。
