曲线渐近线的计算
2026年01月14日
二十三
、曲线渐近线的计算
【主要内容】
曲线y=f(x)的渐近线有两类:
1.铅直渐近线.如果x→x0(x→x0+,或x→x0-)时,f(x)→∞,则x=x0是曲线y=f(x)的一条铅直渐近线.
2.非铅直渐近线.如果x→∞(x→+∞或x→-∞)时,
,f(x)-ax→b,则y=ax+b是曲线y=f(x)的一条非铅直渐近线.
当a≠0时,称非铅直渐近线y=ax+b为斜渐近线;当a=0时,称非铅直渐近线y=b为水平渐近线.
【典型例题】
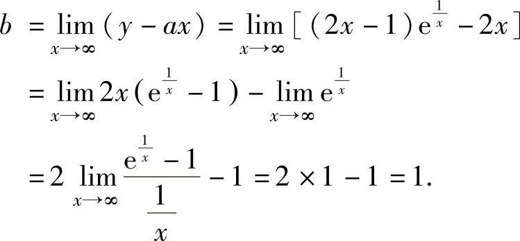
例1.23.1 求曲线
的渐近线方程.
精解 先求所给曲线的铅直渐近线,再计算它的非铅直渐近线.
由于仅当x→0+时,y→∞,所以,曲线y=(2x-1)ex1仅有铅直渐近线x=0.由于
,
所以,曲线
仅有非铅直渐近线y=2x+1(斜渐近线).
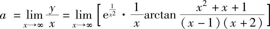
例1.23.2 (单项选择题)曲线
的渐近线条数为( ).
A.1 B.2 C.3 D.4
精解 先求所给曲线的铅直渐近线,再计算它的非铅直渐近线,由此得到所给曲线的渐近线条数.
由于仅当x→0时,y→∞,所以所给曲线仅有铅直渐近线x=0.(https://www.daowen.com)
由于

(其中,
是因为x→∞时,
是无穷小,而
是有界函数),

所以所给曲线仅有非铅直渐近线
(水平渐近线).
因此本题选B.
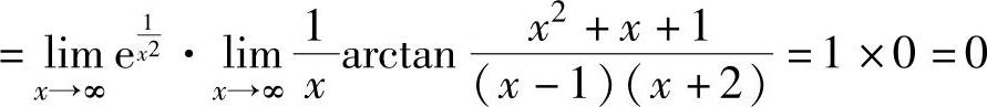
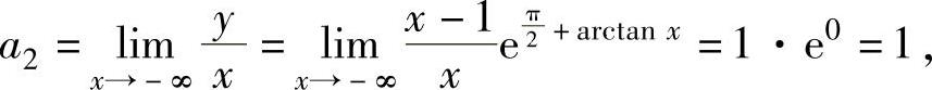
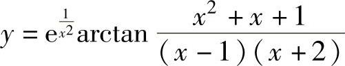
例1.23.3 求曲线
的渐近线.
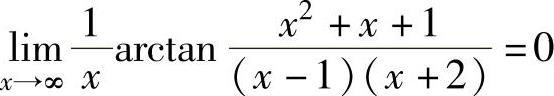
精解 显然所给曲线无铅直渐近线(这是因为
没有无穷间断点).由
于lim x
不存在,因此分x→+∞和x→-∞情形分别计算非铅直渐近线.
由于

所以,所给曲线有非铅直渐近线y=eπx-2eπ.
由于

所以,所给曲线还有非铅直渐近线y=x-2.