不等式的导数证明
【主要内容】
函数不等式f(x)<g(x)(x∈(a,b))的证明,总是先作辅助函数.通常作辅助函数F(x)=g(x)-f(x).如果这样的F(x)不易求导,或求导后的表达式比较复杂,其符号不易确定,则可先对不等式作适当的等价变形,例如将三角函数集中到不等号的一边;将反三角函数和对数函数分散到不等号两边等,再作辅助函数.
如果F(x)在(a,b)内可导,则当F′(x)>0(x∈(a,b))及
时,有
F(x)>A≥0,即f(x)<g(x)(x∈(a,b));当F′(x)<0(x∈(a,b))及
时,有F(x)>B≥0,即f(x)<g(x)(x∈(a,b));当存在x0∈(a,b),使得
且F(x0)=c>0时有
F(x)≥c>0,即f(x)>g(x)(x∈(a,b)).
【典型例题】
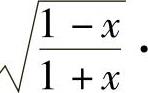
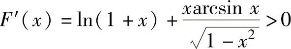
例1.20.1 证明:当x∈(0,1)时,
精解 需将ln(1+x)与arcsinx分散到不等号的两边,故将欲证的不等式改写为
arcsinx<ln(1+x),或
.于是作辅助函数
显然,它在(0,1)内可导且
,
所以
.从而当x∈(0,1)时有

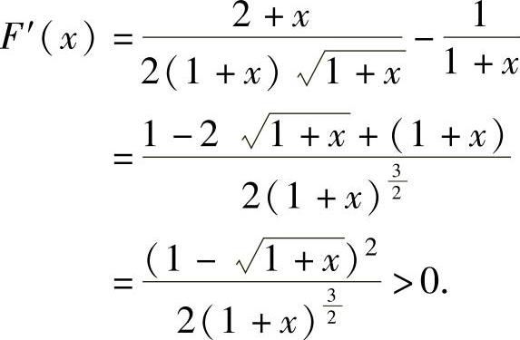
例1.20.2 证明:当x∈(0,1)时,(1+x)ln2(1+x)<x2.
精解 如作辅助函数F1(x)=x2-(1+x)ln2(1+x),则F1′(x)的表达式比较复杂,不易判别其符号,因此先将待证不等式改写为

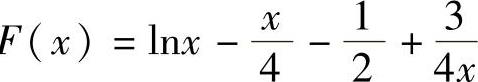
于是作辅助函数
,则F(x)在(0,1)内可导且

由此可知,
,从而当x∈(0,1)时有
,即(1+x)ln2(1+x)<x2.
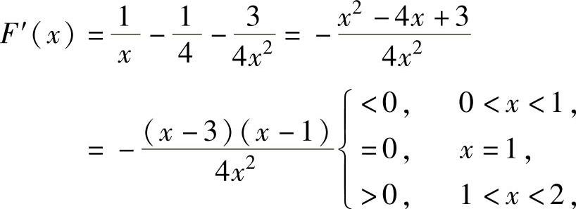
例1.20.3 设x∈(0,2),证明:4xlnx≥x2+2x-3.
精解 将欲证不等式改写成
记F
,则F(x)在(https://www.daowen.com)
(0,2)内可导,且

所以,对x∈(0,2)有F(x)≥F(1),即4xlnx≥x2+2x-3.
例1.20.4 设
,证明:
精解 将三角函数集中到不等号的左边,欲证的不等式改写成

因此作辅助函数
,则它在
内二阶可导且

所以,F(x)在
内单调增加,由此得到,对
有
,即
于是对x∈(0,1)有
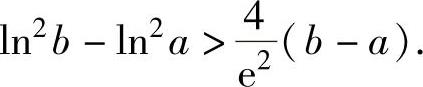
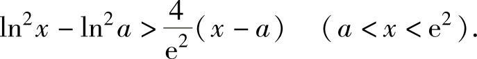
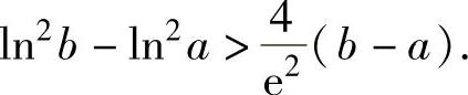
例1.20.5 设e<a<b<e2,证明:
精解 将欲证不等式中的b改为x(将a改为x也可以),转化为函数不等式

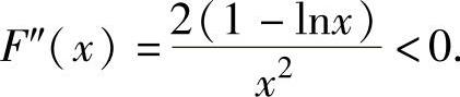
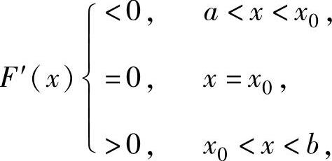
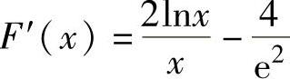
为了证明这个函数不等式,作辅助函数

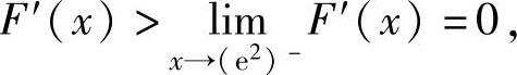
则它在(a,e2)内二阶可导且
,
所以,F′(x)在(a,e2)内单调减少,从而对x∈(a,e2)有

即F(x)在(a,e2)内单调增加,所以对于b∈(a,e2)有
F(b)>F(a)=0.从而证得,对e<a<b<e2有
