曲线凹凸性、拐点的计算
1.曲线凹凸性及其判定方法
在某个区间内,如果曲线位于其上任意一点的切线的上方(下方),则称曲线在该区间内为凹的(凸的).
曲线y=f(x)在区间I上凹凸性的判定方法是:
设函数f(x)在I上二阶可导.如果f″(x)>0(x∈I),则曲线y=f(x)在I上是凹的;如果f″(x)<0(x∈I),则曲线y=f(x)在I上是凸的.
2.曲线拐点及其计算方法
设函数f(x)连续,则曲线y=f(x)上的凹弧与凸弧的分界点称为该曲线的拐点.
曲线y=f(x)(f(x)是连续函数)的拐点可按以下步骤计算:
(1)在f(x)的定义域上,求方程f″(x)=0的实根和使f″(x)不存在的点,设为x1,x2,…,xn;
(2)对由步骤(1)算得的每个xi,如果在其两侧邻近f″(x)为异号,则(xi,f(xi))是曲线y=f(x)的一个拐点,否则点(xi,f(xi))不是曲线y=f(x)的拐点.
【典型例题】
例1.22.1 计算下列曲线y=f(x)的凹凸区间(即曲线y=f(x)凹弧的区间与凸弧的区间)与拐点:
(1)
;
(2)
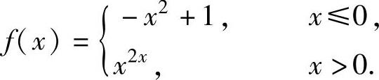
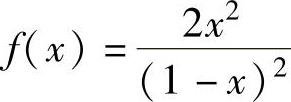
精解 (1)y=f(x)的定义域为(-∞,1)∪(1,+∞),且在其上二阶可导,

显然使y″=0的点为
据此列表如下:
(https://www.daowen.com)
由表可知,曲线y=f(x)的凸区间为
,凹区间为
和(1,+∞),拐点
为
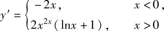
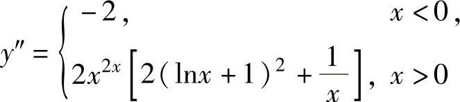
(2)y=f(x)的定义域为(-∞,+∞),且在其上连续,此外有
(这里不必确定y在点x=0处的可导性),
(这里不必确定y′在点x=0处的可导性),
由此可知,曲线y=f(x)(连续函数)的凸区间为(-∞,0],凹区间为[0,+∞),拐点为(0,1).
例1.22.2 (单项选择题)曲线y=(x-1)(x-2)2(x-3)3(x-4)4的拐点是().
A.(1,0) B.(2,0) C.(3,0) D.(4,0)
精解 由

可得y=(x-1)(x-2)2(x-3)3(x-4)4的概图如图1.22.2所示.由图可知点(3,0)是所给曲线的拐点.
因此本题选C.

图 1.22.2
例1.22.3 (单项选择题)设函数f(x)满足f(x)=-f(-x),x∈(-∞,+∞),且在(0,+∞)上f′(x)>0,f″(x)>0,则f(x)在(-∞,0)上().
A.单调增加且其图形是凹的
B.单调增加且其图形是凸的
C.单调减少且其图形是凹的
D.单调减少且其图形是凸的
精解 由f(x)是奇函数知f′(x)是偶函数,f″(x)是奇函数,所以在(-∞,0)上f′(x)>0,f″(x)<0,即在(-∞,0)上f(x)单调增加且其图形是凸的.
因此本题选B.