练习题二解答
2026年01月14日
练习题二解答
1.单项选择题
(1)A (2)D (3)A(4)B (5)D
(6)B (7)B (8)B(9)C (10)C
(11)C (12)C (13)B (14)A (15)A
(16)B (17)B (18)D (19)B (20)D
(21)C (22)A
2.解答题
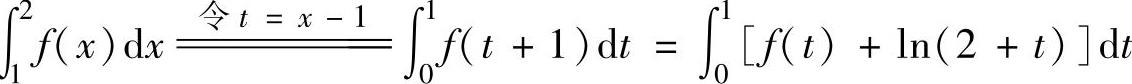
(1)由题设得
,所以
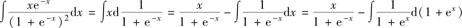
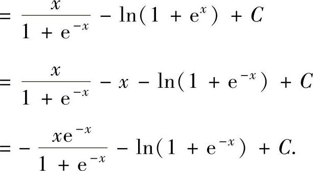
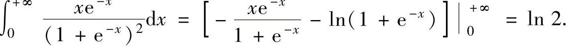
(2)

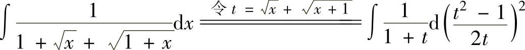
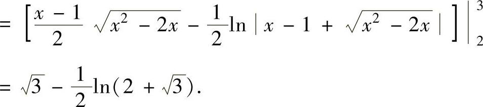
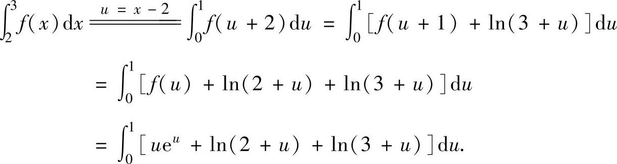
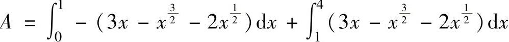
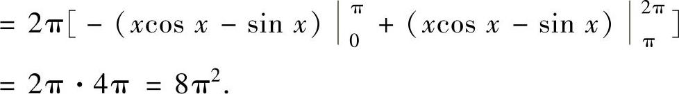
(3)

(4)
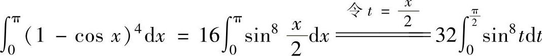
(5)


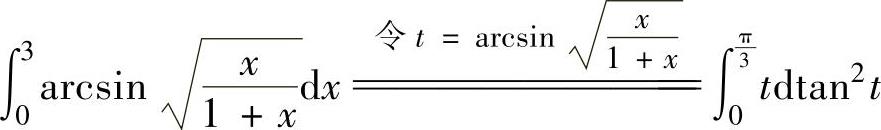
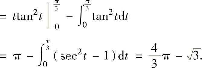
(6)

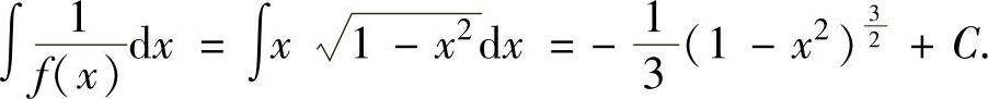
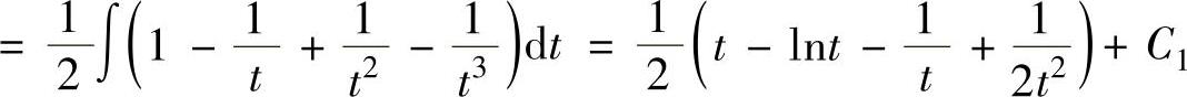
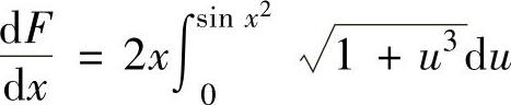
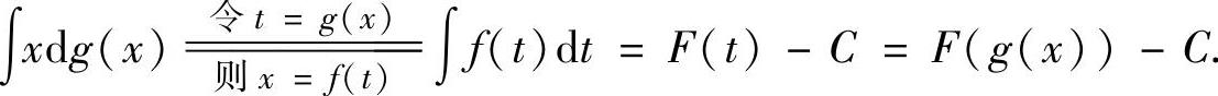
(7)g(x)可导,所以∫
,
其中,
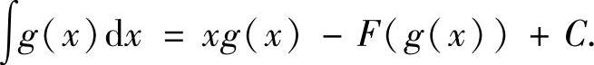
因此
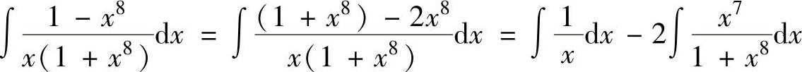
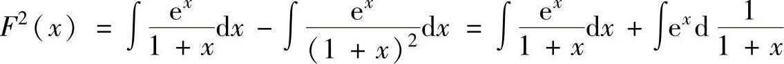
(8)
,即
,
由F(0)=1得C=0,所以
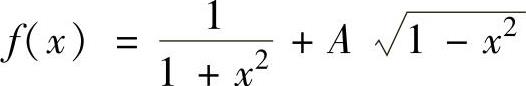
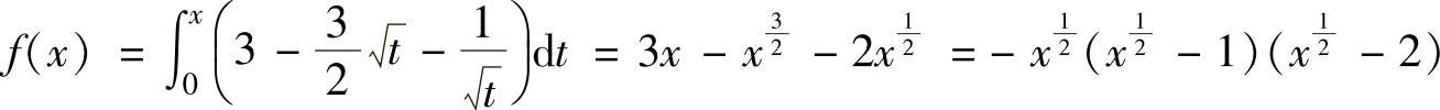
(9)
,
其中,
(定积分的几何意义),

所以
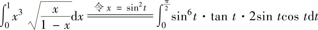
(10)

(11)
(https://www.daowen.com)
(12)

(13)

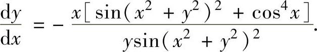
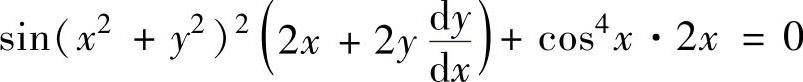
(14)所给方程两边对x求导得
,
所以,
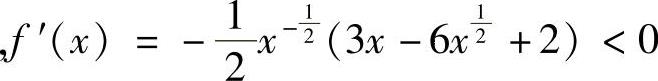
(15)因为
,所以
(16)
,
其中,


所以,


(17)记
,则
,所以
从而
(18)

所以
(19)

(20)因为
,并且当
x>4时
,所以,y=f(x)(x≥0)的图形如图答2.2.20b所示.

图 答2.2.20
因此

(21)

