旋转体体积的计算
【主要内容】
1.旋转轴为x轴或与x轴平行的直线情形
(1)由曲线y=f(x)(f(x)是连续函数),直线x=a,x=b(a<b)及x轴围成的平面图形绕x轴旋转一周而成的旋转体体积

(2)由曲线y=f(x)(f(x)是连续函数),直线x=a,x=b(a<b)及x轴围成的平面图形绕直线y=k(对任意x∈[a,b]有0≤f(x)≤k)旋转一周而成的旋转体体积

注 由曲线y=f(x)(f(x)是连续函数),直线x=a,x=b(0≤a<b或a<b≤0)及x轴围成的平面图形绕y轴旋转一周而成的旋转体体积

2.旋转轴为y轴或与y轴平行的直线情形
(1)由曲线x=g(y)(g(y)是连续函数),直线y=c,y=d(c<d)及y轴围成的平面图形绕y轴旋转一周而成的旋转体体积

(2)由曲线x=g(y)(g(y)是连续函数),直线y=c,y=d(c<d)及y轴围成的平面图形绕直线x=m(对任意y∈[c,d]有0≤g(y)≤m)旋转一周而成的旋转体体积

注 由曲线x=g(y)(g(y)是连续函数),直线y=c,y=d(0≤c<d或c<d≤0)及y轴围成的平面图形绕y轴旋转一周而成的旋转体体积

【典型例题】
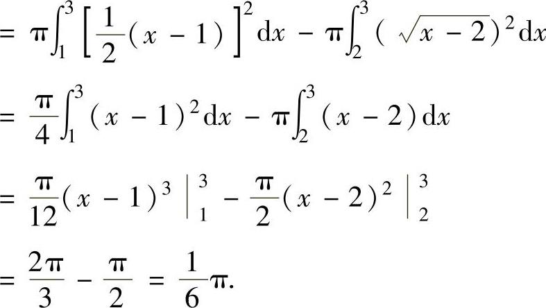
例2.13.1 过点P(1,0)作抛物线
的切线l,求由C,l及x轴围成的平面图
形D绕x轴旋转一周而成的旋转体体积V.
精解 先写出l的方程,然后画出D的图形并计算V.
设l与抛物线C的切点为
,则x0>2,且l的方程为

由于l过点P(1,0),故将其坐标值代入式(1)得

解此方程得x0=3,从而
将
它们代入式(1)得
,即

图 2.13.1(https://www.daowen.com)
由此可以画出D的图形如图2.13.1的阴影部分所示.
V=△ACE绕x轴旋转一周而成的旋转体体积-
曲边三角形BCE绕x轴旋转一
周而成的旋转体体积

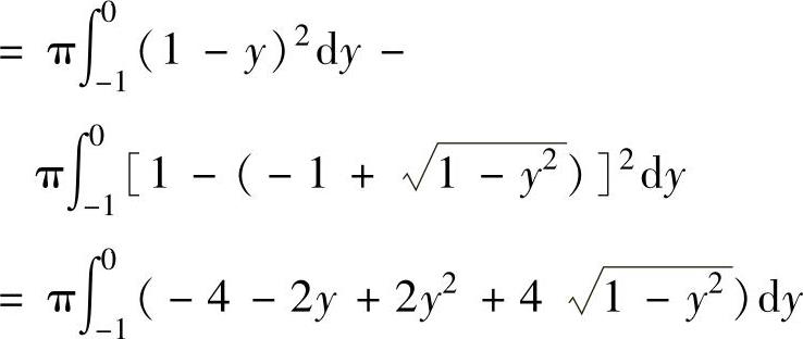
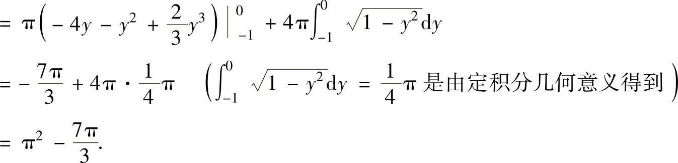
例2.13.2 设平面图形D={(x,y)x2+y2≤-2x,y≤x}.求D绕直线x=1旋转一周而成的旋转体体积V.
精解 D的图形如图2.13.2中的阴影部分所示.
V=△ABO绕直线x=1旋转一周而成的旋
转体体积-曲边三角形ABO绕直线
x=1旋转一周而成的旋转体体积


图 2.13.2

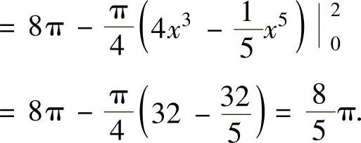
例2.13.3 设由曲线C:8y=12x-x3(0≤x≤2),直线y=2及y轴围成的平面图形为D,求D绕y轴旋转一周而成的旋转体体积V.
精解 C的方程可改写为
由于
,
所以C的图形及D的图形如图2.13.3所示.
显然,D是y轴上的曲边三角形,但C的方程不易改写成x=x(y),因此用以下方法计算V.


图 2.13.3

例2.13.4 求由参数方程表示的曲线x=a(t-sint),{y=a(1-cost)(0≤t≤2π,a>0)与x轴围成的平面图形D绕直线y=2a旋转一周而成的旋转体体积V.
精解 D如图2.13.4中的阴影部分所示,所以

图 2.13.4
