二元函数全微分
【主要内容】
设二元函数z=f(x,y)在点(x0,y0)的某个邻域内有定义.如果它在点(x0,y0)处的全增量
Δz=f(x0+Δx,y0+Δy)-f(x0,y0)可以表示为Δz=AΔx+BΔy+o(ρ)(其中A和B不依赖于Δx,Δy,o(ρ)是比ρ=
高阶的无穷小),则称z=f(x,y)在点(x0,y0)处可微,称AΔx+BΔy为
z=f(x,y)在点(x0,y0)处的全微分,记为
,即

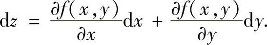
注 (ⅰ)二元函数z=f(x,y)在点(x,y)处的全微分记为dz.
(ⅱ)如果二元函数z=f(x,y)在点(x,y)处可微,则

(ⅲ)二元函数f(x,y)在点(x,y)处连续,两个偏导数存在,可微及两个偏导数连续有如下的关系:

这里A→B表示由命题A可以推出命题B;AB表示由命题A未必能推出命题B.
(ⅳ)设z=f(u,v)有连续偏导数,则无论u,v是自变量还是可微的中间变量都有
(微分形式不变性).
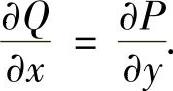
(ⅴ)设P(x,y),Q(x,y)都有连续偏导数,则P(x,y)dx+Q(x,y)dy是某个二元函数的全微分的充分必要条件是
【典型例题】
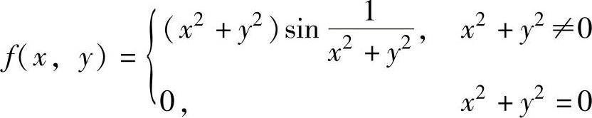
例3.2.1 (单项选择题)设二元函数
,,
则在点(0,0)处f(x,y)().
A.两个偏导数不存在 B.不可微
C.两个偏导数存在且连续 D.可微
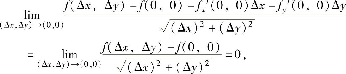
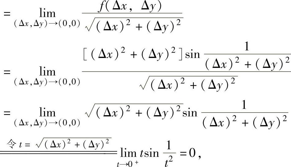
精解 由于选项B和D中有且仅有一个是正确的,所以只要考虑f(x,y)在点(0,0)处是否可微即可.
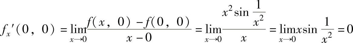
,
同理可得fy′(0,0)=0.
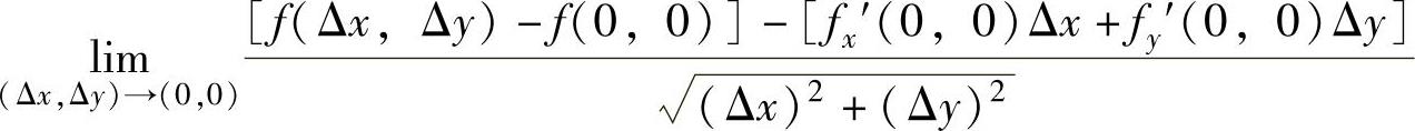
由于
即
,所以f(x,y)在点(0,0)处可微.
因此本题选D.
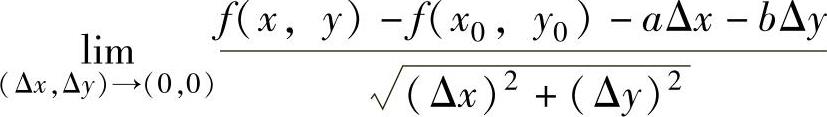
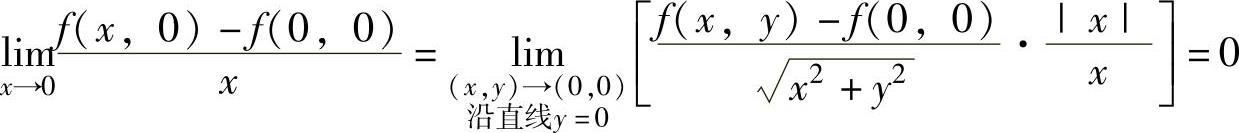
注 当已知二元函数f(x,y)在点(x0,y0)处的两个偏导数fx′(x0,y0)=a,fy′(x0,y0)=b时,要判定f(x,y)在点(x0,y0)处是否可微,可从计算极限

入手.如果该极限为零,则f(x,y)在点(x0,y0)处可微,且
;如果该极限不为零,则f(x,y)在点(x0,y0)处不可微.
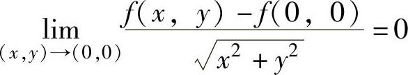
例3.2.2(单项选择题)二元函数f(x,y)在点(0,0)处可微的一个充分条件是( ).
A.f(x,y)在点(0,0)处连续
B.fx′(0,0),fy′(0,0)都存在C.
D.
,
(https://www.daowen.com)
精解 由f(x,y)在点(0,0)处连续与fx′(0,0),fy′(0,0)存在都未必能推出f(x,y)在点(0,0)处可微,所以选项A和B都不能选.
现考虑选项C:
由
,即fx′(0,0)=0.
同理可得fy′(0,0)=0.
所以,
从而f(x,y)在点(0,0)处可微.
因此本题选C.
例3.2.3 (单项选择题)设二元函数F(x,y)有连续偏导数,且F(x,y)(ydx+xdy)为某个二元函数的全微分,则F(x,y)满足( ).
A.Fx′(x,y)=Fy′(x,y) B.xFx′(x,y)=yFy′(x,y)
C.xFy′(x,y)=yFx′(x,y) D.-xFx′(x,y)=yFy′(x,y)
精解 由于F(x,y)(ydx+xdy)=yF(x,y)dx+xF(x,y)dy为某个二元函数的全微分,所以有
即F(x,y)+xFx′(x,y)=F(x,y)+yFy′(x,y),化简后得
xFx′(x,y)=yFy′(x,y).
因此本题选B.
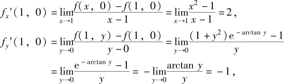
例3.2.4 设二元函数
,Δx=0.1,Δy=0.2,求dz(1,0).
精解 先利用偏导数定义算出fx′(1,0),fy′(1,0),然后将Δx=0.1,Δy=0.2代入dz(1,0)=fx′(1,0)Δx+fy′(1,0)Δy即可.
由于
所以,当Δx=0.1,Δy=0.2时,
dz(1,0)=(2Δx-Δy)Δx=0.1,Δy=0.2=0.
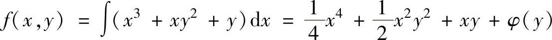
例3.2.5 设(x3+xy2+y)dx+(x2y+y3+x)dy是二元函数f(x,y)的全微分,求f(x,y)的表达式.
精解 由题设知
fx′=x3+xy2+y,(1)
fy′=x2y+y3+x,(2)
式(1)的两边对x积分(此时将y看做常数)得
(其中,φ(y)是待定函数).
(3)
式(3)的两边对y求偏导数得
fy′=x2y+x+φ′(y),
与式(2)比较得φ′(y)=y3,所以
(C是任意常数).将它代入式(3)得
